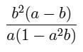
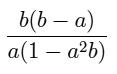
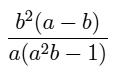
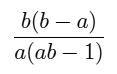
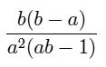
Câu 1

Simplify the expression above.
Đề thi Olympic Tiếng Anh lớp 11 vòng 21 năm 2013 - 2014 với những câu hỏi bám sát nội dung chương trình học nhằm cung cấp tài liệu tham khảo cho các em học sinh trong quá trình ôn luyện ngữ pháp tiếng anh. Chúc các em có được số điểm cao!
Đang tải...
Theo Nghị định 147/2024/ND-CP, bạn cần xác thực tài khoản trước khi sử dụng tính năng này. Chúng tôi sẽ gửi mã xác thực qua SMS hoặc Zalo tới số điện thoại mà bạn nhập dưới đây: