Trắc nghiệm Phân số bằng nhau
Trắc nghiệm Toán lớp 6: Phân số bằng nhau bao gồm 2 phần trắc nghiệm và tự luận có đáp án và hướng dẫn giải chi tiết cho các em học sinh tham khảo, củng cố rèn luyện kỹ năng giải Toán Chương 3 Số học lớp 6. Mời các em học sinh tham khảo chi tiết.
Phân số bằng nhau
I. Câu hỏi trắc nghiệm Phân số bằng nhau Toán lớp 6
Câu 1: Phân số nào dưới đây bằng với phân số -2/5 ?
A. 4/10
B. -6/15
C. 6/15
D. -4/-10
Đáp án
Đáp án A : Vì -2.10 ≠ 4.5 nên -2/5 ≠ 4/10 ⇒ A sai
Đáp án B: Vì (-2).15 = (-6).5 nên -2/5 = -6/15 ⇒ B đúng
Đáp án C: (-2).15 ≠ 6.5 nên -2/5 ≠ 6/15 ⇒ C sai
Đáp án D: Vì -2.(-10) ≠ (-4).5 nên -2/5 ≠ -4/-10 ⇒ D sai
Chọn đáp án B
Câu 2: Chọn câu sai?
A. 1/3 = 45/135
B. -13/20 = 26/-40
C. -4/15 = -16/-60
D. 6/7 = -42/-49
Đáp án
Đáp án A: Vì 1.135 = 3.45 nên 1/3 = 45/135 ⇒ A đúng
Đáp án B : Vì (-13).(-40) = 20.26 nên -13/20 = 26/-40 ⇒ B đúng
Đáp án C : Vì (-4).(-60) = 15.(-16) nên -4/15 ≠ -16/-60 ⇒ C sai
Đáp án D : Vì 6.(-49) = 7.(-42) nên 6/7 = -42/-49 ⇒ D đúng
Chọn đáp án C
Câu 3: Tìm số nguyên x biết 35/15 = x/3 ?
A. x = 7
B. x = 5
C. x = 15
D. x = 6
Đáp án

Chọn đáp án A
Câu 4: Điền số thích hợp vào chỗ chấm 15/90 = 5/...
A. 20
B. -60
C. 60
D. 30
Đáp án

Chọn đáp án D
Câu 5: Cho tập A = {1; -2; 3; 4}. Có bao nhiêu phân số có tử số và mẫu số thuộc A mà có tử số khác mẫu số và tử số trái dấu với mẫu số
A. 9
B. 6
C. 3
D. 12
Đáp án
Các phân số thỏa mãn đề bài là:

Vậy có 6 phân số thỏa mãn đề bài
Chọn đáp án B
II. Bài tập tự luận Phân số bằng nhau Toán lớp 6
Câu 1: Tìm 3 phân số bằng với phân số -2/5
Đáp án
Ta có: -4/10 = -2/5 vì (-4).5 = (-2).10
-6/15 = -2/5 vì (-6).5 = (-2).15
-8/20 = -2/5 vì (-8).5 = (-2).20
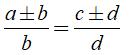
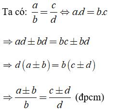
Câu 2: Cho hai phân số bằng nhau a/b = c/d. Chứng minh rằng:

Đáp án

Trắc nghiệm Toán 6: Phân số bằng nhau bao gồm 5 câu hỏi trắc nghiệm và 2 câu hỏi tự luận có đáp án chi tiết cho từng câu hỏi cho các em học sinh tham khảo rèn luyện kỹ năng giải Toán lớp 6 về số nguyên ôn tập chương 3 Số học Toán 6, chuẩn bị cho các bài thi bài kiểm tra trong năm học.
Ngoài các dạng bài tập Toán 6, các em học sinh tham khảo các bài giải SGK môn Toán lớp 6, Môn Ngữ văn 6, Môn Vật lý 6, môn Sinh Học 6, Lịch sử 6, Địa lý 6..... chi tiết mới nhất trên VnDoc.com.