Trắc nghiệm Phép cộng phân số
Trắc nghiệm Toán lớp 6: Phép cộng phân số bao gồm 2 phần trắc nghiệm và tự luận có đáp án và hướng dẫn giải chi tiết cho các em học sinh tham khảo, củng cố rèn luyện kỹ năng giải Toán Chương 3 Số học lớp 6. Mời các em học sinh tham khảo chi tiết.
Trắc nghiệm Phép cộng phân số
I. Câu hỏi trắc nghiệm Phép cộng phân số Toán lớp 6
Câu 1: Tổng
có kết quả là
A. 1/3
B. 4/3
C. 3/4
D. 1
Đáp án

Chọn đáp án D
Câu 2: Tính tổng hai phân số 35/36 và -125/36
A. -5/2
B. -29/5
C. -40/9
D. 40/9
Đáp án

Chọn đáp án A
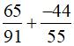
Câu 3: Thực hiện phép tính
ta được kết quả là
A. -53/35
B. 51/35
C. -3/25
D. 3/35
Đáp án

Chọn đáp án C
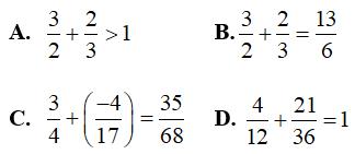
Câu 4: Chọn câu đúng

Đáp án

Chọn đáp án B
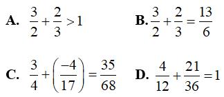
Câu 5: Chọn câu sai

Đáp án

Chọn đáp án D
II. Bài tập tự luận Phép cộng phân số Toán lớp 6
Câu 1:
a) Viết phân số 7/15 dưới dạng tổng hai phân số tối giản có mẫu số khác nhau.
b) Viết phân số 1/8 dưới dạng tổng hai phân số dương có tử số bằng 1 và mẫu số khác nhau.
c) Viết các phân số bằng 15/17 có mẫu là số tự nhiên chẵn có hai chữ số.
Đáp án
a) Vì 7 = 2 + 5 = 6 + 1 = 3 + 4 nên có nhiều cách viết

Câu 2: Chứng tỏ rằng:

Đáp án

Do đó, ta có:

Trắc nghiệm Toán 6: Phép cộng phân số bao gồm 5 câu hỏi trắc nghiệm và 2 câu hỏi tự luận có đáp án chi tiết cho từng câu hỏi cho các em học sinh tham khảo rèn luyện kỹ năng giải Toán lớp 6 về số nguyên ôn tập chương 3 Số học Toán 6, chuẩn bị cho các bài thi bài kiểm tra trong năm học.
Ngoài các dạng bài tập Toán 6, các em học sinh tham khảo các bài giải SGK môn Toán lớp 6, Môn Ngữ văn 6, Môn Vật lý 6, môn Sinh Học 6, Lịch sử 6, Địa lý 6..... chi tiết mới nhất trên VnDoc.com.