Trắc nghiệm Phép trừ phân số
Trắc nghiệm Toán lớp 6: Phép trừ phân số bao gồm 2 phần trắc nghiệm và tự luận có đáp án và hướng dẫn giải chi tiết cho các em học sinh tham khảo, củng cố rèn luyện kỹ năng giải Toán Chương 3 Số học lớp 6. Mời các em học sinh tham khảo chi tiết.
Trắc nghiệm Phép trừ phân số
I. Câu hỏi trắc nghiệm Phép trừ phân số Toán lớp 6
Câu 1: Số đối của phân số 13/7 là:
A. -13/7
B. 13/-7
C. -(13/7)
D. Tất cả các đáp án trên đều đúng
Đáp án
Số đối của phân số 13/7 là -13/7 hoặc 13/-7 hoặc -(13/7)
Chọn đáp án D
Câu 2: Cặp phân số nào sau đây là hai phân số đối nhau ?

Đáp án
Đáp án A: Số đối của -2/3 là 2/3 chứ không phải 3/2 nên A sai
Đáp án B: Số đối của -12/13 là 12/13 chứ không phải 13/-12 nên B sai
Đáp án C: Số đối của 1/2 là -(1/2) nên C đúng
Đáp án D : Số đối của 3/4 là -3/4 hoặc 3/-4 hoặc -(3/4) chứ không phải -4/3 nên D sai
Chọn đáp án C
Câu 3: Kết quả phép tính là 
A. 1/10
B. 4/5
C. 2/5
D. -1/10
Đáp án
Ta có:

Chọn đáp án C
Câu 4: Số đối của
là

Đáp án
Ta có:

Chọn đáp án D
Câu 5: Phép tính
là:

Đáp án
Ta có:

Chọn đáp án A
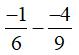
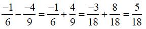
Câu 6: Tính 
A. 5/18
B. 5/36
C. -11/18
D. -13/36
Đáp án
Ta có:

Chọn đáp án A
II. Bài tập tự luận Phép trừ phân số Toán lớp 6
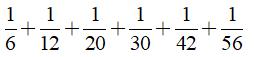
Câu 1: Tính nhanh

Đáp án
Ta có:

Câu 2: Chứng minh rằng

Đáp án
Ta có:

Trắc nghiệm Toán 6: Phép trừ phân số bao gồm 5 câu hỏi trắc nghiệm và 2 câu hỏi tự luận có đáp án chi tiết cho từng câu hỏi cho các em học sinh tham khảo rèn luyện kỹ năng giải Toán lớp 6 về số nguyên ôn tập chương 3 Số học Toán 6, chuẩn bị cho các bài thi bài kiểm tra trong năm học.
Ngoài các dạng bài tập Toán 6, các em học sinh tham khảo các bài giải SGK môn Toán lớp 6, Môn Ngữ văn 6, Môn Vật lý 6, môn Sinh Học 6, Lịch sử 6, Địa lý 6..... chi tiết mới nhất trên VnDoc.com.