Trắc nghiệm Thứ tự trong tập hợp các số nguyên
Trắc nghiệm Toán lớp 6: Thứ tự trong tập hợp các số nguyên bao gồm 2 phần trắc nghiệm và tự luận có đáp án và hướng dẫn giải chi tiết cho các em học sinh tham khảo, củng cố rèn luyện kỹ năng giải Toán Chương 2 Số học lớp 6. Mời các em học sinh tham khảo chi tiết.
Thứ tự trong tập hợp các số nguyên
I. Câu hỏi trắc nghiệm Thứ tự trong tập hợp các số nguyên lớp 6
Câu 1: Chọn câu đúng
A. 2 > 3
B. 3 < -2
C. 0 < -3
D. -4 < -3
Đáp án và hướng dẫn giải
• Điểm 2 nằm bên trái điểm 3 nên 2 < 3. Do đó A sai.
• Điểm 3 nằm bên phải điểm -2 nên 3 > -2. Do đó B sai.
• Điểm 0 nằm bên phải điểm -3 nên 0 > -3. Do đó C sai.
• Điểm -4 nằm bên trái điểm -3 nên -4 < -3. Do đó D đúng.
Chọn đáp án D.
Câu 2: Chọn câu sai:
A. -5 < -2
B. 0 < 4
C. 0 > -1
D. -5 < -6
Đáp án và hướng dẫn giải
• Điểm -5 nằm bên trái điểm -2 nên -5 < -2. Do đó A đúng.
• Điểm 0 nằm bên trái điểm 4 nên 0 < 4. Do đó B đúng.
• Điểm 0 nằm bên phải điểm -1 nên 0 > -1. Do đó C đúng.
• Điểm -5 nằm bên phải điểm -6 nên -5 > -6. Do đó D sai.
Chọn đáp án D.
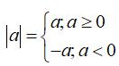
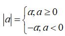
Câu 3: Chọn câu đúng:
A. |a| = a nếu a < 0
B. |a| = -a nếu a ≥ 0
C. |a| = a nếu a ≥ 0
D. |a| = a với mọi a
Đáp án và hướng dẫn giải
Vì

nên đáp án C. |a| = a nếu a ≥ 0 là đáp án đúng.
Chọn đáp án C.
Câu 4: Tìm |-3|
A. -3
B. 2
C. 3
D. 0
Đáp án và hướng dẫn giải
Ta có số đối của -3 là 3 nên |-3| = -(-3) = 3.
Chọn đáp án C.
Câu 5: Giá trị tuyệt đối của số 6 là:
A. 6
B. -6
C. 5
D. -5
Đáp án và hướng dẫn giải
Ta có vì 6 > 0 nên |6| = 6
Chọn đáp án A.
II. Bài tập tự luận Thứ tự trong tập hợp các số nguyên Toán lớp 6
Câu 1:
a) Sắp xếp các số ngyên sau theo thứ tự tăng dần: 2, 0, -1, -5, -17, 8
b) Sắp xếp các số nguyên sau theo thứ tự giảm dần: -103, -2004, 15, 9, -5, 2004
Đáp án và hướng dẫn giải
a) Các số nguyên được sắp xếp theo thứ tự tăng dần là: -17, -5, -1, 0, 2, 8
b) Các số nguyên được sắp xếp theo thứ tự giảm dần là: 2004, 15, 9, -5, -103, -2004
Câu 2: Tìm tập hợp các số nguyên x sao cho:
a) -4 ≤ x ≤ 2
b) |x| < 2
Đáp án và hướng dẫn giải
a) Ta có tập hợp các số nguyên x sao cho -4 ≤ x ≤ 2 là
A = {-4; -3; -2; -1; 0; 1; 2}
b) Ta có tập hợp các số nguyên x sao cho |x| < 2 ⇒ -2 < x < 2 là
B = {-1; 0; 1}
Trắc nghiệm Thứ tự trong tập hợp các số nguyên bao gồm 5 câu hỏi trắc nghiệm và 2 câu hỏi tự luận có đáp án chi tiết cho từng câu hỏi cho các em học sinh tham khảo rèn luyện kỹ năng giải Toán lớp 6 về số nguyên ôn tập chương 2 Số học Toán 6, chuẩn bị cho các bài thi bài kiểm tra trong năm học.
Ngoài các dạng bài tập Toán 6, các em học sinh tham khảo các bài giải SGK môn Toán lớp 6, Môn Ngữ văn 6, Môn Vật lý 6, môn Sinh Học 6, Lịch sử 6, Địa lý 6..... chi tiết mới nhất trên VnDoc.com.