Trắc nghiệm Tính chất cơ bản của phân số
Trắc nghiệm Toán lớp 6: Tính chất cơ bản của phân số bao gồm 2 phần trắc nghiệm và tự luận có đáp án và hướng dẫn giải chi tiết cho các em học sinh tham khảo, củng cố rèn luyện kỹ năng giải Toán Chương 3 Số học lớp 6. Mời các em học sinh tham khảo chi tiết.
Tính chất cơ bản của phân số
I. Câu hỏi trắc nghiệm Tính chất cơ bản của phân số Toán lớp 6
Câu 1: Chọn câu sai. Với a; b; m ∈ Z; b; m ≠ 0 thì

Đáp án

⇒ Đáp án B sai
Chọn đáp án B
Câu 2: Phân số a/b là phân số tối giản khi ƯC(a; b) bằng
A. {1; -1}
B. {2}
C. {1; 2}
D. {1; 2; 3}
Đáp án
Phân số tối giản (hay phân số không rút gọn được nữa) là phân số mà cả tử và mẫu chỉ có ước chung là 1 và -1
Chọn đáp án A
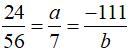
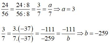
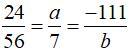
Câu 3: Tìm số a; b biết 
A. a = 3, b = -259
B. a = -3, b = -259
C. a = 3, b = 259
D. a = -3, b = 259
Đáp án
Ta có:

Vậy a = 3, b = -259
Chọn đáp án A
Câu 4: Phân số nào dưới đây là phân số tối giản?
A. -2/4
B. -15/-96
C. 13/27
D. -29/58
Đáp án
Đáp án A: ƯCLN(2; 4) = 2 ≠ 1 nên loại
Đáp án B: ƯCLN(15; 96) = 3 ≠ 1 nên loại
Đáp án C: ƯCLN(13; 27) = 1 ≠ 1 nên C đúng
Đáp án D: ƯCLN(29; 58) = 29 ≠ 1 nên D loại
Chọn đáp án C
Câu 5: Nhân cả tử số và mẫu số của phân số 14/23 với số nào để được phân số 168/276
A. 14
B. 23
C. 12
D. 22
Đáp án
Ta có: 168:14 = 12 và 276:23 = 12 nên số cần tìm là 12
Chọn đáp án C
II. Bài tập tự luận Tính chất cơ bản của phân số Toán lớp 6
Câu 1: Viết một phân số mới bằng phân số 5/9 sao cho mẫu của phân số mới gấp 7 lần mẫu của phân số cũ
Đáp án
Ta có: 
Vậy phân số mới cần tìm là 35/63
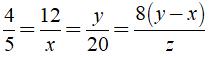
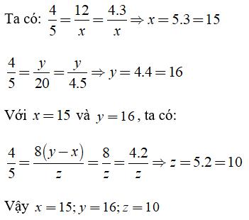
Câu 2: Tìm các số x, y, z thỏa mãn:

Đáp án

Trắc nghiệm Toán 6: Tính chất cơ bản của phân số bao gồm 5 câu hỏi trắc nghiệm và 2 câu hỏi tự luận có đáp án chi tiết cho từng câu hỏi cho các em học sinh tham khảo rèn luyện kỹ năng giải Toán lớp 6 về số nguyên ôn tập chương 3 Số học Toán 6, chuẩn bị cho các bài thi bài kiểm tra trong năm học.
Ngoài các dạng bài tập Toán 6, các em học sinh tham khảo các bài giải SGK môn Toán lớp 6, Môn Ngữ văn 6, Môn Vật lý 6, môn Sinh Học 6, Lịch sử 6, Địa lý 6..... chi tiết mới nhất trên VnDoc.com.