Trắc nghiệm Tính chất cơ bản của phép cộng phân số
Trắc nghiệm Toán lớp 6: Tính chất cơ bản của phép cộng phân số bao gồm 2 phần trắc nghiệm và tự luận có đáp án và hướng dẫn giải chi tiết cho các em học sinh tham khảo, củng cố rèn luyện kỹ năng giải Toán Chương 3 Số học lớp 6. Mời các em học sinh tham khảo chi tiết.
Trắc nghiệm Tính chất cơ bản của phép cộng phân số
I. Câu hỏi trắc nghiệm Tính chất cơ bản của phép cộng phân số Toán lớp 6
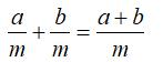
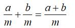
Câu 1: Chọn câu đúng . Với a; b; m ∈ Z; m ≠ 0 ta có :

Đáp án
Muốn cộng hai phân số cùng mẫu, ta cộng các tử và giữ nguyên mẫu

Chọn đáp án C
Câu 2: Phép cộng phân sô có tính chất nào sau đây?
A. Tính chất giao hoán
B. Tính chất kết hợp
C. Tính chất cộng với 0
D. Cả A, B, C đều đúng
Đáp án
Phép cộng phân số có các tính chất:
+ Tính chất giao hoán: khi đổi chỗ các phân số trong một tổng thì tổng không đổi
+ Tính chất kết hợp: Muốn cộng một tổng hai phân số với phân số thứ ba, ta có thể cộng phân số thứ nhất với tổng hai phân số còn lại
+ Tính chất cộng với 0: Tổng của một phân số với 0 bằng chính phân số đó
Chọn đáp án D
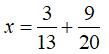
Câu 3: Tìm x biết


Đáp án

Chọn đáp án B
Câu 4: Tìm x biết x - 1/5 = 2 + -3/4

Đáp án

Chọn đáp án B
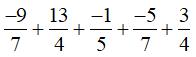
Câu 5: Tính hợp lí biểu thức
ta được kết quả là :
A. 9/5
B. 11/5
C. -11/5
D. -1/5
Đáp án
Ta có:

Chọn đáp án B
II. Bài tập tự luận Tính chất cơ bản của phép cộng phân số Toán lớp 6
Câu 1: Tính nhanh

Đáp án
a) Ta có:

b) Ta có:

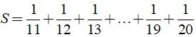
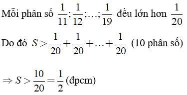
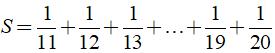
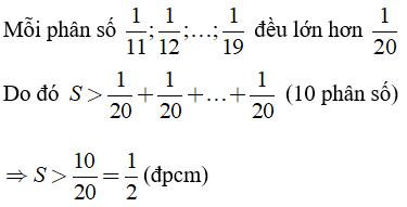
Câu 2: Cho
.
Hãy so sánh S với 1/2
Đáp án

Trắc nghiệm Toán 6: Tính chất cơ bản của phép cộng phân số bao gồm 5 câu hỏi trắc nghiệm và 2 câu hỏi tự luận có đáp án chi tiết cho từng câu hỏi cho các em học sinh tham khảo rèn luyện kỹ năng giải Toán lớp 6 về số nguyên ôn tập chương 3 Số học Toán 6, chuẩn bị cho các bài thi bài kiểm tra trong năm học.
Ngoài các dạng bài tập Toán 6, các em học sinh tham khảo các bài giải SGK môn Toán lớp 6, Môn Ngữ văn 6, Môn Vật lý 6, môn Sinh Học 6, Lịch sử 6, Địa lý 6..... chi tiết mới nhất trên VnDoc.com.