Trọn bộ giáo án môn Đại số lớp 9 học kì 2
Giáo án học kì 2 lớp 9 môn Toán
VnDoc.com mời các bạn cùng tham khảo Trọn bộ giáo án môn Đại số lớp 9 học kì 2. Đây là mẫu giáo án điện tử lớp 9 được thiết kế rõ ràng, chi tiết, sẽ giúp quý thầy cô thuận tiện cho việc soạn bài giảng dạy trên lớp cũng như giúp học sinh nhanh chóng nắm bắt được nội dung bài học. Chúc quý thầy cô dạy tốt môn Toán 9.
Lưu ý: Nếu không tìm thấy nút Tải về bài viết này, bạn vui lòng kéo xuống cuối bài viết để tải về.
Ngoài ra, VnDoc.com đã thành lập group chia sẻ tài liệu học tập THCS miễn phí trên Facebook: Tài liệu học tập lớp 9. Mời các bạn học sinh tham gia nhóm, để có thể nhận được những tài liệu mới nhất.
- Giáo án môn Lịch sử lớp 9 học kì 2 theo Công văn 5512
- Trọn bộ giáo án môn Ngữ văn lớp 9 học kì 2
- Giáo án dạy thêm môn Toán 9 theo công văn 3280
Tiết 41: LUYỆN TẬP
I. MỤC TIÊU
1. Kiến thức
- Qua bài củng cố lại cho HS các kiến thức về giải hệ phương trình bằng phương pháp cộng đại số.
2. Kỹ năng
- Rèn luyện cho HS các kĩ năng giải hệ phương trình bằng phương pháp cộng đại số, tính toán.
3.Thái độ
- Giáo dục cho HS tính nghiêm túc, tích cực trong học tập.
II. CHUẨN BỊ CỦA GIÁO VIÊN VÀ HỌC SINH
1. Chuẩn bị của giáo viên
- Ng/cứu SGK, SGV, SBT T9, bảng phụ ghi nội dung bài tập, bài giait mẫu, thước thẳng..=> Để soạn bài phù hợp với từng đối tượng (H)
2. Chuẩn bị của học sinh
- Học bài và thực hiện tốt các yêu cầu đã đề ra ở cuối T38
III. TIẾN TRÌNH BÀI DẠY
1. Kiểm tra bài cũ (6’) (Dự kiến kiểm tra 2 HS)
a. Câu hỏi
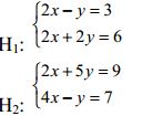
Giải các hệ phương trình sau bằng phương pháp cộng đại số.

b. Đáp án - Biểu điểm

Vậy hệ phương trình đã cho có nghiệm duy nhất ( 2; 1 ) 10đ
* Đặt vấn đề (1’) ở giờ trước ta đã nắm được cách giải hệ phương trình bằng phương pháp công đại số. Trong giờ hôm nay ta sẽ vận dụng những Về kiến thức đó để làm một số bài tập.=> GV ghi bảng…….
2. Dạy nội dung bài mới (34’)
|
Hoat động của GV và HS |
Nội dung ghi bảng |
|
|
?Y HS GV
?Tb
HS GV
GV
GV ?K HS GV
GV ?K HS ?K GV HS GV ?K HS
?K HS
GV GV
GV
HS
?K ?Tb
HS |
Để giải hệ phương trình bằng phương pháp công đại số ta thực hiện như thế nào? Nêu quy tắc công đại số Treo bảng phụ ghi các bước giải hệ phương trình bằng phương pháp công đại số lên bảng và nhấn mạnh lại cho (H) => Để (H) nắm trắc cách giải. Để giải hệ phương trình trên ta thực hiện như thế nào? Suy nghĩ trả lời HD: Bỏ dấu ngoặc, thu gọn các hạnh tử đồng dạng => tiến hành giải Gọi một (H) lên bảng thực hiện, cả lớp làm vào vở => NX, bổ sung NX và lưu ý (H) cách thực hiện. Ngoài cách thực hiện như trên ta còn cách giải nào khác không? Trả lời Giới thiệu cách giải đặt ẩn phụ => Yêu cầu (H) về nhà làm Gọi (H) đọc nội dung bài toán P(x) là đa thức 0 khi nào? Trả lời Ta có hệ phương trình nào? Giải hệ phương trình tìm m =?, n = ? Gọi một (H) lên bảng giải hệ phương trình. Cả lớp làm vào vở => Nhận xét, bổ sung NX, bài làm của (H)
Ta tìm a, b như thế nào? Thay tọa độ của điểm A, B vào hàm số y = a.x + b ta được hệ phương trình bậc nhất hai ẩn a, b Giải hệ phương trình tìm a, b? Một (H) lên bảng thực hiện, cả lớp làm vào vở
Cho (H) làm bài 27 Đối với dạng bài toán này ta dung phương pháp đặt ẩn phụ để giải
Đặt 1/x = u, 1/y = v thì hệ (I) trở thành hệ nào? Trả lời
Giải hệ phương trình tìm u, v ? Thay u, v tìm được vào (*) để tìm x, y? Thực hiện |
I. Lý thuyết (4’)
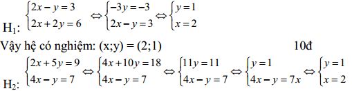
II. Bài tập (30’) Bài 24/19-SGK
Vậy hệ PT có nghiệm: (x;y) = (7/3; 1) Bài 25/19-SGK P(x) = (3m -5n+1)x + (4m – n – 10) P(x) là một đa thức 0 <=> 3m – 5n +1 = 0 Và 4m – n – 10 = 0 Ta có hệ phương trình:
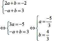
Vậy với m=3; n= 2 thì P(x) là đa thức 0 Bài 26/19-SGK a. Vì đồ thị hàm số y = a.x +b đi qua hai điểm A(2;-2), B(1;3) nên ta có hệ phương trình:
Vậy với a = -5/3; b = 4/3 thì đồ thị hàm số đi qua hai điểm A(2;-2), B(1;3) Bài 27/20-SGK
|
---------------------
Trên đây chỉ là một phần của tài liệu, mời các bạn tải file ĐẦY ĐỦ về tham khảo.
Ngoài Trọn bộ giáo án môn Đại số lớp 9 học kì 2, mời các bạn tham khảo thêm giáo án điện tử lớp 9 các môn Toán, Ngữ văn, Tiếng Anh ... và đề thi học kì 1 lớp 9, đề thi học kì 2 lớp 9 đã được VnDoc.com cập nhật liên tục.



