Tuyển chọn 100 bài phương trình và hệ phương trình


100 BÀI PHƯƠNG TRÌNH VÀ HỆ PHƯƠNG TRÌNH LỚP 10 HAY VÀ KHÓ
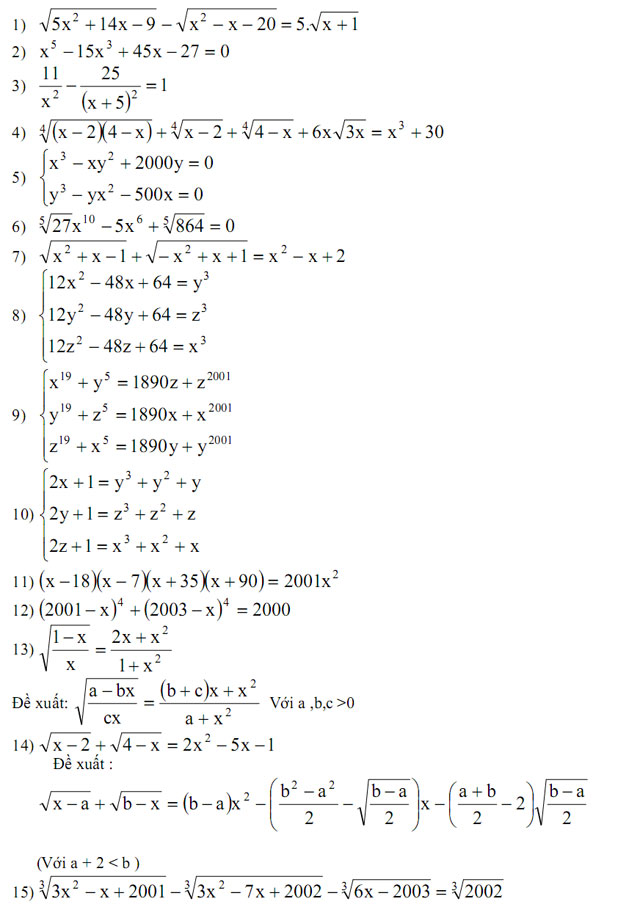
Tuyển chọn 100 bài phương trình và hệ phương trình lớp 10 tổng hợp một số bài toán về phương trình và hệ phương trình hay và khó gặp ở chương trình học môn Toán lớp 10. Tài liệu này giúp các bạn học sinh có thể tự ôn luyện kiến thức, đồng thời cũng thích hợp cho giáo viên dùng trong việc bồi dưỡng học sinh giỏi môn toán.
Chuyên đề Toán lớp 10: GIẢI PHƯƠNG TRÌNH VÀ HỆ PHƯƠNG TRÌNH

Trên đây các bạn đã tham khảo Tuyển chọn 100 bài phương trình và hệ phương trình, mời các bạn tham khảo các tài liệu chất lượng khác tại VnDoc giúp học tập tốt chương trình học lớp 10 trên lớp không chỉ môn Toán mà còn các môn Vật lí lớp 10, học tốt Ngữ văn 10, chắc kiến thức lớp 10 môn Hóa, ....
- 12 cách cân bằng phương trình hóa học
- Một số phương pháp giải phương trình có ẩn dưới dấu căn ở Đại số lớp 10
- Trắc nghiệm Vật lý 10 chương 5: Phương trình trạng thái của khí lí tưởng
Chúc các bạn học tốt và đạt nhiều kết quả cao trong học tập!
