Vật lí 11 Cánh Diều Bài tập chủ đề 1 trang 32, 33, 34
Theo lộ trình thực hiện Chương trình giáo dục phổ thông 2018 của Bộ Giáo dục và Đào tạo, từ năm học 2023-2024, học sinh các khối lớp 11 sẽ học theo chương trình, sách giáo khoa mới. Để giúp các thầy cô và các em học sinh làm quen với từng bộ sách mới, VnDoc xin giới thiệu tài liệu Vật lí 11 Cánh Diều Bài tập chủ đề 1 trang 32. Mời quý bạn đọc cùng tham khảo.
- Vật lí 11 Cánh Diều bài 4 trang 28, 29, 30, 31, 32
- Vật lí 11 Cánh Diều Bài 1 trang 36, 37, 38, 39, 40, 41, 42
Giải Vật lí 11 Cánh Diều Bài tập chủ đề 1
- 1. Câu hỏi 1 trang 32 Vật lí 11 Cánh Diều
- 2. Câu hỏi 2 trang 32 Vật lí 11 Cánh Diều
- 3. Câu hỏi 3 trang 32 Vật lí 11 Cánh Diều
- 4. Câu hỏi 4 trang 33 Vật lí 11 Cánh Diều
- 5. Câu hỏi 5 trang 33 Vật lí 11 Cánh Diều
- 6. Câu hỏi 6 trang 33 Vật lí 11 Cánh Diều
- 7. Câu hỏi 7 trang 33 Vật lí 11 Cánh Diều
- 8. Câu hỏi 8 trang 34 Vật lí 11 Cánh Diều
1. Câu hỏi 1 trang 32 Vật lí 11 Cánh Diều
Cho hai vật dao động điều hoà (1) và (2) có đồ thị li độ – thời gian như Hình 1.

a) Xác định biên độ, chu kì và tần số của hai dao động.
b) Xác định độ lệch pha của hai dao động ra đơn vị độ và rad.
c) Tìm vận tốc của vật (2) tại thời điểm 3,5 s.
d) Tìm gia tốc của vật (1) tại thời điểm 1,5 s.
Lời giải:
a) Dao động 1 (đường màu xanh) có:
- Biên độ: A1 = 3 cm
- Chu kì: T = 6 s
- Tần số:
\(f=\frac{1}{T}=\frac{1}{6} Hz\)
Dao động 2 (đường màu đỏ) có:
- Biên độ: A2 = 4 cm
- Chu kì: T = 6 s
- Tần số:
\(f=\frac{1}{T}=\frac{1}{6} Hz\)
b) Hai dao động có cùng chu kì nên
\(\omega =\frac{2\pi }{T}=\frac{2\pi }{6}=\frac{\pi }{3} (rad/s)\)
Độ lệch thời gian của hai dao động khi cùng trạng thái: ∆t = 2,5s
Độ lệch pha: Δφ = ω.Δt =
\(\frac{\pi }{3}\).2,5 =
\(\frac{5\pi }{6}\)rad = 1500
c) Tại thời điểm 3,5 s vật 2 đang ở VTCB nên vận tốc cực đại:
v = ωA2 =
\(\frac{\pi }{3}\).4 =
\(\frac{4\pi }{3}\)cm/s
d) Tại thời điểm 1,5 s vật 1 đang ở biên dương nên gia tốc có giá trị:
a = −ω2A1 =
\(-\left ( \frac{\pi }{3} \right ) ^{2}\).3 =
\(-\frac{\pi ^{2}}{3}\)3 cm/s2
Độ lớn gia tốc khi đó là
\(\frac{\pi ^{2}}{3}\)cm/s2
2. Câu hỏi 2 trang 32 Vật lí 11 Cánh Diều
Cho con lắc lò xo dao động trên mặt phẳng nằm ngang không ma sát như trong Hình 2. Con lắc lò xo thực hiện mỗi dao động mất 2,4 s. Tại t = 0, vật bắt đầu dao động từ chỗ cách vị trí cân bằng x = 3 cm.

a) Tìm vị trí và vận tốc của vật tại thời điểm 0,60 s.
b) Tìm vị trí và vận tốc của vật tại thời điểm 1,20 s.
Lời giải:
Con lắc lò xo thực hiện mỗi dao động mất 2,4 s nên T = 2,4 s ⇒ ω=
\(\frac{2\pi }{T}\) =
\(\frac{5\pi }{6}\) rad/s
Tại t = 0, vật bắt đầu dao động từ chỗ cách vị trí cân bằng x = 3 cm tức là A = 3 cm.
Cách 1:
Khi đó: 3 = 3cosφ ⇒ φ = 0rad
Khi đó phương trình dao động điều hoà có dạng: x = 3cos(
\(\frac{5\pi }{6}\).t) cm
Phương trình vận tốc có dạng: v =
\(-\frac{5\pi }{6}\).3.sin(
\(\frac{5\pi }{6}.t\)) =
\(-\frac{5\pi }{2}\).sin(
\(\frac{5\pi }{6}.t\)) cm/s
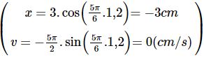
a) Tại thời điểm t = 0,6 s:

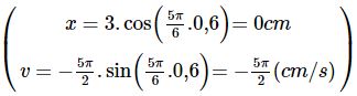
b) Tại thời điểm t = 1,2 s:

Cách 2:
a) Chu kì T = 2,4 s
Có t = 0,6s =
\(\frac{T}{4}\)
Do tại thời điểm ban đầu vật đang ở biên dương nên sau khoảng thời gian T4 (tức là 14 chu kì) thì vật trở về VTCB và chuyển động theo chiều âm. Khi đó:
\(\binom{x=0cm}{v=-\omega A=-\frac{5\pi }{6}.3=-\frac{5\pi }{2}(cm/s) }\)
b) Có t = 1,2s =
\(\frac{T}{2}\)
Do tại thời điểm ban đầu vật đang ở biên dương nên sau khoảng thời gian T2 (tức là 12 chu kì) thì vật đang ở biên âm và chuyển động theo chiều dương. Khi đó:
\(\binom{x=-A=-3cm}{v=0(cm/s)}\)
3. Câu hỏi 3 trang 32 Vật lí 11 Cánh Diều
Trong một chuyến bay lên Mặt Trăng, các nhà du hành đã mang theo một con lắc đơn với dây treo có chiều dài 2,0 m. Phép đo chu kì dao động của con lắc đơn này trên Mặt Trăng cho kết quả T = 7,02 s. Xác định gia tốc rơi tự do tại bề mặt Mặt Trăng.
Lời giải:
Ta có:
\(T=2\pi \sqrt{\frac{l}{g}}\Rightarrow g=\frac{4\pi ^{2}.l }{\pi ^{2}}=\frac{4\pi ^{2}.2}{7,02^{2}}=1,6 (m/s^{2})\)
4. Câu hỏi 4 trang 33 Vật lí 11 Cánh Diều
Cho đồ thị vận tốc – thời gian của một vật dao động điều hoà như Hình 3. Biết rằng khối lượng của vật là 0,15 kg. Hãy xác định:

a) Chu kì của vật dao động.
b) Biên độ của vật dao động.
c) Cơ năng của vật dao động.
d) Vị trí và gia tốc của vật tại thời điểm 100 ms.
Lời giải:
a) Chu kì T = 100 ms = 0,1 s ⇒ ω =
\(\frac{2\pi }{T}\) =
\(\frac{2\pi }{0,1}\) = 20πrad/s
b) Vận tốc có độ lớn cực đại: vmax = 3 m/s
Mà vmax = Aω ⇒ A =
\(\frac{3}{20\pi }\)m ≈ 0,048m = 4,8cm
c) Cơ năng: W = Wdmax =
\(\frac{1}{2}mv_{max}^{2}\) =
\(\frac{1}{2}\).0,15.32 = 0,675J
d) Tại thời điểm 100 ms vận tốc bằng 0 và đang đi theo chiều âm nên vật có vị trí tại biên dương.
Khi đó gia tốc: a = –ω2A = –(20π)2.0,048 = –189,5 m/s2
5. Câu hỏi 5 trang 33 Vật lí 11 Cánh Diều
Dao động của vật sẽ tắt dần nhanh hơn nếu
A. giảm lực ma sát.
B. tăng lực cản của môi trường.
C. tăng ngoại lực cưỡng bức tuần hoàn.
D. đặt vật dao động trong môi trường chân không.
Lời giải:
Dao động của vật sẽ tắt dần nhanh hơn nếu tăng lực cản của môi trường.
Đáp án đúng là: B.
6. Câu hỏi 6 trang 33 Vật lí 11 Cánh Diều
Phát biểu nào sau đây là sai khi nói về năng lượng của hệ dao động điều hoà:
A. Hệ có thế năng cực đại khi vật ở vị trí biên dương.
B. Vật có động năng cực đại khi ở vị trí cân bằng.
C. Hệ có cơ năng không đổi trong suốt quá trình dao động.
D. Hệ có thế năng bằng không khi vật ở vị trí biên âm.
Lời giải:
Hệ có động năng cực đại tại VTCB, thế năng cực đại tại vị trí hai biên (biên âm và dương) và ngược lại.
Đáp án đúng là: D.
7. Câu hỏi 7 trang 33 Vật lí 11 Cánh Diều
Gờ giảm tốc (Hình 4) có tác dụng cảnh báo (thông qua việc gây ra tác động nhẹ lên phương tiện) cho người tham gia giao thông biết trước đoạn đường nguy hiểm, cần phải giảm tốc độ và chú ý quan sát để bảo đảm an toàn giao thông.

Một ô tô có khối lượng 1 465 kg chở hai người có tổng khối lượng 110 kg đi qua một đoạn đường có gờ giảm tốc, với những nếp gấp cách nhau 0,50 m. Ô tô nảy lên với biên độ cực đại khi tốc độ của nó là 20 km/h. Xác định độ cứng tương đương của hệ thống lò xo gắn với khung xe. Nhắc lại rằng ta có thể coi gần đúng hệ thống này như một con lắc lò xo có chu kì dao động tính bằng công thức
\(T=2\pi \frac{m}{k}\)
Lời giải:
Ta có thể thấy ô tô nảy lên với biên độ cực đại khi tốc độ của xe là 20 km/h và khoảng cách giữa các nếp gấp là 0,5 m. Khi đó chu kì:
\(T=\frac{s}{v}=\frac{0,5}{\frac{20}{3,6} }=0,09s\)
Mà: ![]()
8. Câu hỏi 8 trang 34 Vật lí 11 Cánh Diều
Các cơ vận động nhãn cầu tạo ra chuyển động của nhãn cầu và chuyển động đồng bộ của mi mắt (Hình 5). Các cơ giữ nhãn cầu này co giãn và có thể coi gần đúng như những lò xo có độ cứng tương đương là k. Các nghiên cứu y khoa cho thấy, nếu đầu người bị rung lắc với tần số 29 Hz thì thị lực sẽ bị mờ đi do tần số rung lắc này cộng hưởng với tần số dao động riêng của nhãn cầu. Nếu khối lượng trung bình của một nhãn cầu người bình thường là 7,5 g thì độ cứng tương đương của hệ thống cơ giữ nhãn cầu là bao nhiêu?

Lời giải:
Ta có: ![]()
-------------------
Trên đây VnDoc.com vừa gửi tới bạn đọc bài viết Vật lí 11 Cánh Diều Bài tập chủ đề 1 trang 32, 33, 34. Hi vọng qua bài viết này bạn đọc có thêm tài liệu để học tập tốt hơn môn Vật lý 11 Cánh diều.