Giải Chuyên đề Vật lí 11 Cánh diều bài 3
Bài 3: Chuyển động trong trường hấp dẫn
- Mở đầu trang 17 Chuyên đề Vật lí 11 Cánh diều
- Câu hỏi 1 trang 18 Chuyên đề Vật lí 11 Cánh diều
- Luyện tập 1 trang 18 Chuyên đề Vật lí 11 Cánh diều
- Vận dụng trang 19 Chuyên đề Vật lí 11 Cánh diều
- Luyện tập 2 trang 19 Chuyên đề Vật lí 11 Cánh diều
- Câu hỏi 2 trang 20 Chuyên đề Vật lí 11 Cánh diều
- Luyện tập 3 trang 20 Chuyên đề Vật lí 11 Cánh diều
- Tìm hiểu thêm trang 21 Chuyên đề Vật lí 11 Cánh diều
VnDoc.com xin gửi tới bạn đọc bài viết Giải Chuyên đề Vật lí 11 bài 3: Chuyển động trong trường hấp dẫn để bạn đọc cùng tham khảo. Mời các bạn cùng tham khảo thêm tại mục Vật lí 11 Cánh diều nhé.
Mở đầu trang 17 Chuyên đề Vật lí 11 Cánh diều
Vinasat-1 là vệ tinh viễn thông địa tĩnh đầu tiên của Việt Nam được phóng vào không gian ngày 18 tháng 4 năm 2008 (Hình 3.1). Với khối lượng 2 637 kg và quay quanh Trái Đất ở độ cao trung bình là 35 786 km, Vinasat-1 có vùng phủ sóng rộng lớn gồm toàn bộ lãnh thổ Việt Nam và một phần các nước trong khu vực Châu Á, Châu Úc và Hawaii. Vinasat-1 mất đúng một ngày để thực hiện một vòng quay quanh Trái Đất. Lực hấp dẫn giữa Trái Đất và vệ tinh có vai trò gì trong chuyển động với quỹ đạo và chu kì quay đặc biệt này?

Lời giải:
Lực hấp dẫn giữa Trái Đất và vệ tinh có vai trò là lực hướng tâm giữ cho vệ tinh chuyển động trên quỹ đạo đó.
Câu hỏi 1 trang 18 Chuyên đề Vật lí 11 Cánh diều
Viết công thức tính lực hướng tâm tác dụng lên các vật chuyển động tròn đều.
Lời giải:
Công thức tính lực hướng tâm: Fht = mω2r =
\(m\frac{v^{2} }{r}\)
Luyện tập 1 trang 18 Chuyên đề Vật lí 11 Cánh diều
Xác định tốc độ chuyển động của vệ tinh Vinasat-1 khi nó ở quỹ đạo có độ cao trung bình 35 786 km so với mặt đất. Biết rằng, Trái Đất có khối lượng 5,97.1024 kg và bán kính 6 370 km. Tốc độ này có phụ thuộc vào khối lượng của vệ tinh hay không?
Lời giải:
Tốc độ chuyển động của vệ tinh: ![]()
Tốc độ này không phụ thuộc vào khối lượng của vệ tinh.
Vận dụng trang 19 Chuyên đề Vật lí 11 Cánh diều
hu kì quay của Thuỷ Tinh (Mercury) quanh Mặt Trời dài 88 ngày. Cho biết khối lượng của Mặt Trời là 1,99.1030 kg. Xác định bán kính quỹ đạo của Thuỷ Tinh.
Lời giải:
Chu kì: 88 ngày = 7603200 giây
Ta có: 

Luyện tập 2 trang 19 Chuyên đề Vật lí 11 Cánh diều
Tính chu kì chuyển động của vệ tinh Vinasat-1 dựa vào các thông số đã biết ở phần trên. Có nhận xét gì về kết quả tính được?
Lời giải:
Chu kì chuyển động của vệ tinh:
gần bằng 1 ngày đêm.
Câu hỏi 2 trang 20 Chuyên đề Vật lí 11 Cánh diều
Bỏ qua ảnh hưởng của ma sát với khí quyển, coi rằng tốc độ phóng của viên đạn bằng với tốc độ chuyển động của nó trên quỹ đạo tròn khi trở thành vệ tinh nhân tạo quanh Trái Đất. Rút ra công thức tính tốc độ vũ trụ cấp I trong công thức (3.3).
Lời giải:
Lực hấp dẫn do Trái Đất tác dụng lên vệ tinh:
\(F_{hd} = \frac{M_{TD}m }{r^{2} }\)
Lực hướng tâm:
\(F_{ht} = m\frac{v^{2} }{r}\)
Do vệ tinh chuyển động tròn đều nên lực hấp dẫn đóng vai trò lực hướng tâm.
Từ đó: 
Công thức tính tốc độ vũ trụ cấp I: 
Luyện tập 3 trang 20 Chuyên đề Vật lí 11 Cánh diều
Tính tốc độ vũ trụ cấp I của Hoả Tinh, biết rằng khối lượng và bán kính của Hoả Tinh lần lượt là 6,4.1023 kg và 3 390 km.
Lời giải:
Tốc độ vũ trụ cấp I của Hoả Tinh:

Tìm hiểu thêm trang 21 Chuyên đề Vật lí 11 Cánh diều
Tốc độ vũ trụ cấp II là tốc độ tối thiểu một vật thể cần có để thoát ra khỏi trường hấp dẫn của một thiên thể.
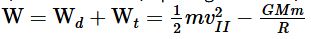
Nếu một vật ở Trái Đất được phóng với tốc độ vũ trụ cấp II thì năng lượng của vật khi phóng là:
![]()
Năng lượng này đủ cho vật bắt đầu thoát ra khỏi trường hấp dẫn của Trái Đất với tốc độ bằng không. Khi đó, động năng của vật bằng không và thế năng hấp dẫn của vật cũng bằng không (do vật đã thoát khỏi trường hấp dẫn của Trái Đất).
Theo định luật bảo toàn năng lượng, ta có: ![]()
Suy ra: ![]()
Thay số, ta thu được tốc độ vũ trụ cấp II đối với Trái Đất là:
![]()
Những vật có khối lượng rất lớn và mật độ chất đậm đặc, sinh ra lực hấp dẫn lớn đến mức ngay cả ánh sáng (có tốc độ 3.108 m/s) cũng không thể thoát khỏi đó và được gọi là hố đen vũ trụ. Cho biết Mặt Trời có khối lượng 1,99.1030 kg. Để trở thành một hố đen vũ trụ, Mặt Trời cần co bé lại thành một quả cầu có bán kính bao nhiêu để ánh sáng không thể thoát khỏi bề mặt của nó?
Lời giải:
Để ánh sáng không thể thoát khỏi bề mặt của Mặt Trời thì tốc độ vũ trụ cấp II đối với Mặt Trời phải lớn hơn hoặc bằng tốc độ ánh sáng.

Khi đó Mặt Trời phải co bé lại thành qua quả cầu có bán kính gần 3 km để ánh sáng không thể thoát ra khỏi bề mặt của nó.