Giải Chuyên đề Vật lí 11 Chân trời sáng tạo bài 4
Bài 4: Thế năng hấp dẫn. Thế hấp dẫn
- Mở đầu trang 20 Chuyên đề Vật lí 11 Chân trời
- Câu hỏi 1 trang 20 Chuyên đề Vật lí 11 Chân trời
- Luyện tập trang 21 Chuyên đề Vật lí 11 Chân trời
- Câu hỏi 2 trang 21 Chuyên đề Vật lí 11 Chân trời
- Câu hỏi 3 trang 22 Chuyên đề Vật lí 11 Chân trời
- Câu hỏi 4 trang 22 Chuyên đề Vật lí 11 Chân trời
- Câu hỏi 5 trang 23 Chuyên đề Vật lí 11 Chân trời
- Luyện tập trang 24 Chuyên đề Vật lí 11 Chân trời
- Câu hỏi 6 trang 25 Chuyên đề Vật lí 11 Chân trời
- Câu hỏi 7 trang 25 Chuyên đề Vật lí 11 Chân trời
- Luyện tập trang 25 Chuyên đề Vật lí 11 Chân trời
- Câu hỏi 8 trang 25 Chuyên đề Vật lí 11 Chân trời
- Vận dụng trang 26 Chuyên đề Vật lí 11 Chân trời
- Bài tập 1 trang 27 Chuyên đề Vật lí 11 Chân trời
- Bài tập 2 trang 27 Chuyên đề Vật lí 11 Chân trời
- Bài tập 3 trang 27 Chuyên đề Vật lí 11 Chân trời
Giải Chuyên đề Vật lí 11 bài 4: Thế năng hấp dẫn. Thế hấp dẫn được VnDoc.com sưu tầm và xin gửi tới bạn đọc cùng tham khảo. Mời các bạn cùng tham khảo thêm tại mục Vật lí 11 Chân trời sáng tạo nhé.
Mở đầu trang 20 Chuyên đề Vật lí 11 Chân trời
Theo thống kê của Liên minh các nhà khoa học (UCS), đến tháng 1 năm 2021, có khoảng 6 542 vệ tinh đang quay xung quanh Trái Đất, trong đó khoảng 3 372 vệ tinh đang hoạt động (Nguồn: https://www.ucsusa.org). Với điều kiện nào khi phóng vệ tinh để nó có thể bay xung quanh Trái Đất?
Lời giải:
Để vệ tinh có thể bay xung quanh Trái Đất thì vận tốc lúc phóng nó phải đạt tối thiểu bằng với tốc độ vũ trụ cấp I của Trái Đất.
Câu hỏi 1 trang 20 Chuyên đề Vật lí 11 Chân trời
Công của lực hấp dẫn do Trái Đất tác dụng lên một vật khi vật này chuyển động từ vị trí A đến vị trí B như trong Hình 4.1 phụ thuộc vào những đại lượng nào và có phụ thuộc vào hình dạng của quỹ đạo hay không?

Lời giải:
Công trong trường hợp này phụ thuộc vào vị trí của điểm A và B. Công này không phụ thuộc vào hình dạng quỹ đạo chuyển động.
Luyện tập trang 21 Chuyên đề Vật lí 11 Chân trời
Xét một thiên thạch đang chuyển động xung quanh Trái Đất theo một quỹ đạo tròn ở khoảng cách r so với tâm Trái Đất, xem thiên thạch không có chuyển động tự quay. Thiết lập công thức tính động năng, thế năng hấp dẫn và cơ năng của thiên thạch.
Thế năng hấp dẫn: ![]()
Động năng: ![]()
Cơ năng của thiên thạch: ![]()
Câu hỏi 2 trang 21 Chuyên đề Vật lí 11 Chân trời
Dựa vào công thức (4.2), xác định công của lực hấp dẫn của Trái Đất khi dịch chuyển một vật có khối lượng m từ vô cực về một vị trí cách tâm Trái Đất một đoạn r.
Lời giải:
Công của lực hấp dẫn của Trái Đất khi dịch chuyển một vật có khối lượng m từ vô cực về một vị trí cách tâm Trái Đất một đoạn r: ![]()
Câu hỏi 3 trang 22 Chuyên đề Vật lí 11 Chân trời
Từ biểu thức thế hấp dẫn (4.4), rút ra trong trường hợp gần bề mặt Trái Đất, độ biến thiên thế năng hấp dẫn của một vật gần bằng mgΔh với Δh là chênh lệch độ cao của vật
Lời giải:
Ta có độ biến thiên thế năng hấp dẫn:

Do ![]()
Từ đó suy ra:
![]()
Câu hỏi 4 trang 22 Chuyên đề Vật lí 11 Chân trời
Dựa vào kết quả của Ví dụ 1, giải thích tại sao khi đưa một vật lên cao từ bề mặt Trái Đất, ta cần phải sử dụng lượng năng lượng lớn hơn so với từ bề mặt Mặt Trăng.
Lời giải:
Theo kết quả ví dụ 1

Thế hấp dẫn bằng công mà ta cần thực hiện để dịch chuyển một đơn vị khối lượng từ vô cực về đến điểm đó, nhìn vào kết quả ví dụ trên ta thấy thế hấp dẫn trong trường hợp này có dấu "-". Vậy khi đưa vật từ mặt đất lên cao chúng ta sẽ sử dụng dấu "+". Do đó công để dịch chuyển vật từ mặt đất lên cao ở trên Trái Đất lớn hơn so với ở trên Mặt Trăng.
Câu hỏi 5 trang 23 Chuyên đề Vật lí 11 Chân trời
Thiết lập công thức và tính thế hấp dẫn của Hoả Tinh (trong Ví dụ 2) ứng với vị trí có r = 4.106 m.
Lời giải:
Thế hấp dẫn của hoả tinh ở vị trí có r = 4.106 m:

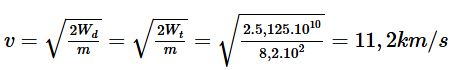
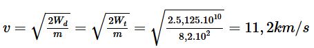
Luyện tập trang 24 Chuyên đề Vật lí 11 Chân trời
Đồ thị trong Hình 4.4 mô tả sự phụ thuộc của thế hấp dẫn vào khoảng cách đến tâm Trái Đất.

a) Dựa vào đồ thị, xác định thế năng hấp dẫn của một vệ tinh nhân tạo có khối lượng 8,2.102 kg đang bay ở quỹ đạo quanh Trái Đất, cách tâm Trái Đất 107 m.
b) Xác định động năng của vệ tinh này, từ đó suy ra tốc độ của nó.
c) Xác định công cần thiết để đưa vệ tinh từ quỹ đạo đang xét lên quỹ đạo cách tâm Trái Đất 2.107 m.
Lời giải:
a) Thế năng hấp dẫn của vệ tinh:

b) Thế năng hấp dẫn của vệ tinh ở bề mặt Trái Đất:
![]()
Thế năng cần thiết để đưa vệ tinh bay vào không gian quỹ đạo: Wt = 5,125.1010 J
Theo định luật bảo toàn cơ năng.
Động năng của vệ tinh bằng với thế năng khi vệ tinh ở quỹ đạo. Wđ = Wt = 5,125.1010 J
Tốc độ của vệ tinh:

c) Công cần thiết để đưa vệ tinh từ quỹ đạo đang xét lên quỹ đạo cách tâm Trái Đất 2.107 m bằng độ giảm thế năng:
![]()
Câu hỏi 6 trang 25 Chuyên đề Vật lí 11 Chân trời
Dựa vào kiến thức đã học, em hãy xây dựng công thức (4.5).
Lời giải:
Lực hấp dẫn do Trái Đất tác dụng lên vệ tinh:
\(F_{hd} = G\frac{M_{TDm} }{r^{2} }\)
Lực hướng tâm:
\(F_{ht} = G\frac{v^{2} }{r}\)
Do vệ tinh chuyển động tròn đều nên lực hấp dẫn đóng vai trò lực hướng tâm.
Từ đó: ![]()
Câu hỏi 7 trang 25 Chuyên đề Vật lí 11 Chân trời
Xác định tốc độ quay quanh Trái Đất của vệ tinh Vinasat-1 ở độ cao 35 786 km so với bề mặt Trái Đất.
Lời giải:
Tốc độ của vệ tinh: 
Luyện tập trang 25 Chuyên đề Vật lí 11 Chân trời
Xác định tốc độ vũ trụ cấp I đối với Hoả Tinh, biết khối lượng và bán kính trung bình của Hoả Tinh lần lượt là 6,42.1023 kg và 3,38.106 m.
Lời giải:
Tốc độ vũ trụ cấp I đối với Hoả Tinh: 
Câu hỏi 8 trang 25 Chuyên đề Vật lí 11 Chân trời
Tìm hiểu tại sao vệ tinh địa tĩnh phải ở độ cao khoảng 36.000 km so với mặt đất
Lời giải:
Vệ tinh địa tĩnh phải ở độ cao khoảng 36000 km so với mặt đất thì nó mới có thể đạt được các trạng thái của một vệ tinh địa tĩnh:
- Đứng yên so với một người quan sát trên mặt đất.
- Chuyển động cùng chiều với chiều quay của Trái Đất xung quanh trục của nó (trục nối hai cực của Trái Đất).
- Có cùng chu kì quay với chu kì tự quay quanh mình của Trái Đất.
- Có quỹ đạo tròn nằm trong mặt phẳng xích đạo của Trái Đất.
Luyện tập trang 26 Chuyên đề Vật lí 11 Chân trời
Xác định độ cao của một vệ tinh địa tĩnh so với bề mặt Trái Đất. Biết bán kính Trái Đất ở Xích đạo khoảng 6 378 km.
Lời giải:
Vệ tinh địa tĩnh có chu kì quay bằng với chu kì tự quay của Trái Đất, tức là nó có chu kì chuyển động tròn quanh Trái Đất là T = 24 h = 86400 s.
Tốc độ góc:
\(\omega = \frac{2\pi }{T}\)
Mà 
Thay số ta được: ![]()
Vận dụng trang 26 Chuyên đề Vật lí 11 Chân trời
Tìm hiểu và trình bày ngắn gọn những hiểu biết của em về hệ thống vệ tinh định vị toàn cầu (GPS) đang bay xung quanh Trái Đất (Hình 4.7).

Lời giải:
Hệ thống định vị toàn cầu GPS là hệ thống định vị sử dụng các vệ tinh, máy thu và thuật toán để đồng bộ hóa dữ liệu vị trí, vận tốc và thời gian cho các phương tiện hàng không, trên biển và đường bộ.
Hệ thống này bao gồm 24 vệ tinh quay quanh Trái Đất, chia làm 6 quỹ đạo, mỗi quỹ đạo có 4 vệ tinh. Quỹ đạo của các vệ tinh này nằm ở độ cao 20.000 km so với Trái Đất và tốc độ bay của các vệ tinh lên tới 14.000 km/h.
Để xác định được một vị trí trên Trái Đất chúng ta chỉ cần tới 3 vệ tinh nhưng một vệ tinh thứ 4 thường được sử dụng để xác thực thông tin từ 3 vệ tinh kia. Vệ tinh thứ 4 còn giúp chúng ta xác định chiều không gian thứ ba, giúp tính được độ cao của vị trí.
Ba phân đoạn của GPS là:
- Không gian (Các vệ tinh): Các vệ tinh quay quanh Trái Đất, truyền tín hiệu cho người dùng về vị trí địa lý và thời gian trong ngày.
- Điều khiển mặt đất: Phân đoạn điều khiển mặt đất được tạo nên từ các trạm giám sát, trạm điều khiển chính và hệ thống anten trên mặt đất. Các trạm này sẽ theo dõi và vận hành các vệ tinh trong không gian và giám sát quá trình truyền dữ liệu. Các trạm giám sát được đặt ở khắp các châu lục trên thế giới.
- Thiết bị của người dùng: Các thiết bị được tích hợp máy thu và phát tín hiệu GPS như máy bay, xe hơi, smartphone, smartwatch,... Sau đây gọi chung là thiết bị.
GPS hoạt động thông qua một kỹ thuật có tên trilateration. Sau khi thu thập tín hiệu từ các vệ tinh, trilateration sẽ tính toán vị trí, vận tốc và độ cao sau đó đồng bộ chúng để đưa ra vị trí chính xác nhất.
Các vệ tinh quay quanh Trái Đất gửi tín hiệu có thể đọc và giải mã được tới các thiết bị, nằm trên hoặc gần bề mặt Trái Đất. Để tính toán vị trí, thiết bị GPS phải nhận được tín hiệu từ ít nhất 4 vệ tinh.
Mỗi vệ tinh trong mạng lưới quay quanh Trái Đất ít nhất hai lần/1 ngày và mỗi vệ tinh sẽ chỉ gửi một tín hiệu, thông số quỹ đạo và thời gian duy nhất tới thiết bị. Tại một thời điểm bất kỳ, một thiết bị có thể đọc tín hiệu từ 6 vệ tinh trở lên.
Một vệ tinh sẽ phát ra sóng để thiết bị nhận và tính toán khoảng cách từ thiết bị đến vệ tinh đó. Vì chỉ có thông số về khoảng cách nên nếu chỉ dùng một vệ tinh, không thể xác định được vị trí của thiết bị trên bề mặt Trái Đất.
Khi một vệ tinh gửi tín hiệu, nó sẽ tạo ra một vòng tròn có bán kính bằng khoảng cách từ thiết bị tới vệ tinh. Khi thêm một vệ tinh thứ hai, một vòng tròn mới sẽ được tạo ra và vị trí của thiết bị sẽ được thu hẹp lại, nằm ở một trong hai điểm giao nhau của hai vòng tròn.
Với sự tham gia của một vệ tinh thứ 3, vị trí của thiết bị sẽ được xác định chính xác. Nó nằm ở giao điểm của 3 vòng tròn.
Tuy nhiên, chúng ta sống trong một thế giới 3 chiều nên mỗi vệ tinh sẽ tạo ra một hình cầu chứ không phải hình tròn. Ba hình cầu giao nhau tại 2 điểm vì thế điểm nào gần Trái Đất nhất sẽ được chọn.
GPS có 5 công dụng chính:
- Vị trí: Xác định vị trí
- Tìm đường: Chỉ đường di chuyển từ vị trí này tới vị trí khác
- Theo dõi: Giám sát máy bay, tàu thuyền... hoặc sự di chuyển của cá nhân nào đó
- Lập bản đồ: Tạo ra bản đồ chi tiết của thế giới
- Tính toán thời gian: Thực hiện các phép đo chính xác về thời gian
Một số ví dụ cụ thể về công dụng của GPS:
- Ứng phó khẩn cấp: Trong trường hợp khẩn cấp như bão lũ, đội phản ứng nhanh sẽ dùng GPS để lập bản đồ, theo dõi và dự báo thời tiết cũng như theo dõi các nhân viên cứu hộ. Mỗi khi tai nạn xe hơi xảy ra, tín hiệu GLONASS (một giải pháp thay thế GPS) sẽ tự động được gửi tới cơ quan chức năng.
- Giải trí: GPS có thể được tích hợp vào các trò chơi như Pokemon Go và Geocaching.
- Sức khỏe và thể dục: Smartwatch và các thiết bị đeo thông minh có thể theo dõi những hoạt động thể dục như khoảng cách chạy, đạp xe nhờ sự hỗ trợ của GPS.
- Xây dựng, khai mỏ và đi phượt: Từ việc tìm vị trí đặt vật tư sao cho phù hợp tới tính toán và phân bổ nguồn lực, GPS giúp các công ty xây dựng và khai mỏ tối ưu chi phí và tăng thêm lợi nhuận. Trong khi đó, việc đi du lịch phượt sẽ trở nên dễ dàng hơn nhờ có sự dẫn đường của GPS.
- Vận tải: Các hãng hậu cần sử dụng những hệ thống GPS để cải thiện năng suất và an toàn cho lái xe. GPS có thể giúp lái xe tối ưu hóa tuyến đường, tiết kiệm nhiên liệu, đảm bảo an toàn và tuân thủ các quy định an toàn giao thông.
- Các ngành công nghiệp khác cũng ứng dụng GPS gồm: nông nghiệp, xe tự lái, bán hàng và dịch vụ, quân đội, thông tin di động, an ninh và đánh bắt cá.
Một số yếu tố làm giảm độ chính xác của GPS gồm:
- Vật cản địa lý: Các phép đo thời gian đến dự tính có thể bị sai lệch bởi các vật cản địa lý lớn như núi đồi, tòa nhà, cây cối...
- Hiệu ứng khí quyển: Tầng điện ly khiến sóng truyền qua chậm, bão lớn hay bão mặt trời đều có thể ảnh hưởng tới độ chính xác của vị trí.
- Hệ thống: Mô hình quỹ đạo bên trong vệ tinh có thể không chính xác hoặc lạc hậu. Ngày nay, vấn đề này rất hiếm gặp.
- Sai số tính toán: Điều này xảy ra khi thiết bị phần cứng không được thiết kế theo các thông số kỹ thuật chuẩn.
- Nhiễu nhân tạo: Bao gồm các thiết bị gây nhiễu hoặc làm giảm tín hiệu GPS.
Bài tập 1 trang 27 Chuyên đề Vật lí 11 Chân trời
Mộc Tinh có đường kính khoảng 142 984 km và có khối lượng khoảng 1,8986.1027 kg. Xét một hòn đá có khối lượng 200 kg ở rất xa Mộc Tinh. Dưới tác dụng của trường hấp dẫn của Mộc Tinh, hòn đá bắt đầu bị hút và chạm vào bề mặt của Mộc Tinh.
a) Xác định độ biến thiên thế hấp dẫn giữa vị trí đầu và cuối của hòn đá.
b) Xác định độ biến thiên thế năng hấp dẫn của hòn đá.
c) Xác định tốc độ của hòn đá khi chạm vào bề mặt của Mộc Tinh, coi ban đầu hòn đá đứng yên so với Mộc Tinh.
Lời giải:
a) Ban đầu hòn đá ở rất xa Mộc Tinh có thể coi như nó đang ở vô cực. Thế hấp dẫn tại đó bằng 0.
Độ biến thiên thế hấp dẫn giữa vị trí đầu và cuối của hòn đá:

b) Độ biến thiên thế năng hấp dẫn của hòn đá:
ΔWthd = mΔΦ = −200.1,8.109 = −3,6.1011J
c) Tốc độ của hòn đá khi chạm vào bề mặt của Mộc Tinh, coi ban đầu hòn đá đứng yên so với Mộc Tinh.
![]()
Bài tập 2 trang 27 Chuyên đề Vật lí 11 Chân trời
Xác định tốc độ vũ trụ cấp I đối với Mặt Trăng, biết khối lượng và bán kính trung bình của Mặt Trăng lần lượt là 7,35.1022 kg và 1737 km. Tại sao tốc độ này lại nhỏ hơn nhiều so với tốc độ vũ trụ cấp I đối với Trái Đất?
Lời giải:
Tốc độ vũ trụ cấp I đối với Mặt Trăng:

Tốc độ này nhỏ hơn nhiều so với tốc độ vũ trụ cấp I đối với Trái Đất vì Mặt Trăng có bán kính và khối lượng nhỏ hơn so với bán kính và khối lượng của Trái Đất.
Bài tập 3 trang 27 Chuyên đề Vật lí 11 Chân trời
Tìm hiểu và trình bày ngắn gọn những ứng dụng của vệ tinh địa tĩnh.
Lời giải:
Ứng dụng của vệ tinh địa tĩnh:
Nhiều người thường nghĩ đến dịch vụ định vị GPS khi nói về ứng dụng của vệ tinh, hay cung cấp dữ liệu quan trọng để dự báo thời tiết, nhưng thực tế thì vệ tinh còn tác động đến đời sống theo nhiều cách khác.
Thanh toán, rút tiền
Bất cứ khi nào khách hàng chi tiền cho ly cà phê buổi sáng bằng dịch vụ thanh toán qua mạng như Google Pay, hoặc thậm chí rút tiền từ ATM, đều sẽ không thực hiện được nếu không có các vệ tinh. Thực vậy, tất cả các giao dịch tài chính tương tự, từ việc chuyển khoản hàng triệu USD trên thị trường chứng khoán cho đến việc thanh toán thuê bao Netflix hàng tháng, đều dựa vào dịch vụ định vị và tính toán thời gian để đảm bảo an ninh.
Con người dựa trên việc tính thời gian chính xác để đảm bảo các giao dịch tài chính diễn ra đồng bộ. Nếu việc tính toán thời gian không đồng bộ, tiền có thể đã vào tài khoản của người nhận nhưng thực tế lại chưa rời khỏi tài khoản của người gửi.
Điều này cực kỳ quan trọng đối với giao dịch trên thị trường chứng khoán, khi giá cả có thể biến đổi mạnh chỉ trong vòng vài giây. Bên cạnh đó, điều này là yêu cầu an ninh cơ bản cho các cơ sở tài chính trên thế giới.
Cứu mạng
Biến đổi khí hậu đang khiến thiên tai xảy ra thường xuyên hơn, với các trận bão và cháy rừng tàn phá hơn. Vệ tinh giúp quan sát các thảm họa này khi cung cấp thông tin để hỗ trợ các chuyên gia nghiên cứu về xu hướng, thậm chí hỗ trợ ứng phó và cứu trợ.
Ví dụ, Công ty OroraTech (Đức) đang dùng dữ liệu từ nhiều vệ tinh để phát hiện sớm các đám cháy rừng. Các thiết bị phân tích hình ảnh hồng ngoại để xác định các điểm cháy, đo tốc độ, hướng gió để dự báo hướng lan của lửa và địa hình, cây cối để giúp nhân viên cứu hỏa ứng phó. Dữ liệu từ vệ tinh cũng được dùng để quan sát các cơn bão, dự báo hướng đi, giúp các cộng đồng chuẩn bị ứng phó.
Từ năm 2000, 17 quốc gia đồng ý chia sẻ miễn phí dữ liệu vệ tinh trong các tình huống khẩn cấp. Tính đến nay, thỏa thuận đã được kích hoạt gần 700 lần để hỗ trợ ứng phó thiên tai tại 126 nước, với dữ liệu từ hơn 60 vệ tinh.
Chống cướp biển
Tất cả tàu thuyền lớn đều buộc phải phát tín hiệu vị trí theo khung thời gian cố định, chẳng hạn như mỗi phút. Khi ở ngoài khơi, các tín hiệu này chỉ có thể được thu nhận bởi các vệ tinh và các tàu lân cận.
Cướp biển, ngư dân đánh bắt lậu thường không trang bị hoặc không bật các thiết bị này nhằm tránh bị phát hiện. May thay, những hình ảnh vệ tinh độ phân giải cao có thể phát hiện các tàu thuyền đáng ngờ và cảnh báo đến các cơ quan chức năng.
Xác định các loài vật nguy cấp
Việc đếm các động vật hoang dã là điều rất khó khăn, nhất là khi chúng sống ở các môi trường xa xôi, khó tiếp cận. Để đối phó với thách thức này, các hình ảnh vệ tinh được dùng để xác định số lượng, chẳng hạn như ước tính quy mô các đàn chim cánh cụt bằng cách đếm số lượng phân trên băng.
Gần đây, sử dụng các hình ảnh vệ tinh độ phân giải cực cao, giới khoa học thậm chí còn có thể xác định và đếm từng con, chẳng hạn như voi và cá voi. Có thể không phải là công cụ để truy tìm một chú chó bị thất lạc, nhưng vệ tinh là công cụ tuyệt vời để các nhà bảo tồn cố gắng bảo vệ các loài vật đang có nguy cơ tuyệt chủng trước nạn săn trộm, việc con người xâm phạm và hủy hoại môi trường sống của chúng.
Tìm kiếm sự sống
Không phải mọi vệ tinh trên quỹ đạo đều “nhìn” xuống trái đất. Một số vệ tinh quan sát vào vũ trụ sâu thẳm và có rất nhiều viễn vọng kính trên không gian. Dù nhiều viễn vọng kính được đặt trên mặt đất, các viễn vọng kính trên quỹ đạo tránh phải quan sát xuyên qua bầu khí quyển trái đất, giúp đem lại hình ảnh rõ nét hơn trong không gian.
Điều này rất quan trọng khi tìm kiếm các hành tinh bên ngoài hệ mặt trời. Không giống các ngôi sao chủ, các hành tinh không tự phát sáng nên chỉ có thể phát hiện thông qua ánh sáng chúng phản chiếu từ ngôi sao chủ.
Nhân loại hy vọng sẽ tìm được các hành tinh có điều kiện giống Trái Đất và có khả năng tồn tại sự sống ngoài hành tinh. Viễn vọng kính Cheops là sứ mệnh của Cơ quan Không gian châu Âu hoạt động trên quỹ đạo từ năm 2019 và gửi về các thông tin về những thế giới xa xôi. Dường như đây sẽ là một sứ mệnh lâu dài, nhưng một ngày nào đó những sứ mệnh này có thể trả lời cho câu hỏi lâu đời về sự sống ngoài vũ trụ.