Giải Chuyên đề Vật lí 11 Kết nối tri thức bài 3
Bài 3: Thế hấp dẫn và thế năng hấp dẫn
- Khởi động trang 19 Chuyên đề Vật lí 11 Kết nối
- Câu hỏi trang 19 Chuyên đề Vật lí 11 Kết nối
- Hoạt động trang 20 Chuyên đề Vật lí 11 Kết nối
- Câu hỏi 1 trang 21 Chuyên đề Vật lí 11 Kết nối
- Câu hỏi 2 trang 21 Chuyên đề Vật lí 11 Kết nối
- Câu hỏi 3 trang 21 Chuyên đề Vật lí 11 Kết nối
- Hoạt động 1 trang 23 Chuyên đề Vật lí 11 Kết nối
- Hoạt động 2 trang 23 Chuyên đề Vật lí 11 Kết nối
- Câu hỏi trang 24 Chuyên đề Vật lí 11 Kết nối
VnDoc.com xin gửi tới bạn đọc bài viết Giải Chuyên đề Vật lí 11 bài 3: Thế hấp dẫn và thế năng hấp dẫn Mời các bạn cùng tham khảo thêm tại mục Vật lí 11 Kết nối tri thức nhé.bài 3: Thế hấp dẫn và thế năng hấp dẫn để bạn đọc cùng tham khảo.
Khởi động trang 19 Chuyên đề Vật lí 11 Kết nối
Nước ta ngày càng phóng nhiều vệ tinh lên quỹ đạo Trái Đất để giám sát khí hậu, rừng và phục vụ phát triển kinh tế xã hội. Vệ tinh viễn thông địa tĩnh đầu tiên nước ta phóng lên quỹ đạo Trái Đất vào năm 2008 là Vinasat-1, nặng 2637 kg, vệ tinh Vinasat-2 vào năm 2018, nặng 2969 kg. Vậy tại sao vệ tinh lại không rơi xuống Trái Đất?
Lời giải:
Vệ tinh không rơi xuống Trái Đất là do nó chuyển động tròn đều quanh Trái Đất, lực hấp dẫn do Trái Đất tác dụng lên vệ tinh đóng vai trò là lực hướng tâm giúp cho vệ tinh chuyển động quỹ đạo tròn. Ban đầu vệ tinh được phóng với một tốc độ nào đó. Ví dụ như nó được phóng với tốc độ vũ trụ cấp 1 là tốc độ một vật cần có để nó chuyển động theo quỹ đạo tròn gần bề mặt của một hành tinh mà không bị rơi bởi lực hấp dẫn của hành tinh đó.
Câu hỏi trang 19 Chuyên đề Vật lí 11 Kết nối
Lập luận để rút ra biểu thức (3.1).
Biểu thức (3.1): ABC = mghB − mghC
Thế năng của vật tại B: WtB = mghB
Thế năng của vật tại C: WtC = mghC
Vật chuyển động dưới tác dụng của trọng lực, độ giảm thế năng bằng công của trọng lực sinh ra nên: ABC = WtB − WtC = mghB − mghC
Hoạt động trang 20 Chuyên đề Vật lí 11 Kết nối
Trường trọng lực chỉ là trường hợp riêng của trường hấp dẫn trong vũ trụ, nên lực hấp dẫn cũng là lực thế và trường hấp dẫn cũng là trường thế.
Khi xét những vị trí gần mặt đất, có trường hấp dẫn là trường đều, nên thế năng hấp dẫn được tính bằng biểu thức mgh. Vậy, tổng quát thì thế năng hấp dẫn của một vật phụ thuộc vào những đại lượng nào trong trường hấp dẫn?
Lời giải:
Thế năng hấp dẫn của một vật phụ thuộc vào khối lượng của vật đó, độ cao của vật đó so với mốc tính thế năng và độ lớn cường độ trường hấp dẫn.
Câu hỏi 1 trang 21 Chuyên đề Vật lí 11 Kết nối
Tính thế hấp dẫn tại một điểm ở bề mặt của Trái Đất và một điểm ở bề mặt của Mặt Trăng.
Lời giải:
Gọi bán kính Trái Đất là RTĐ, bán kính Mặt Trăng là RMT.
Coi Trái Đất có thể xem là hình cầu đồng nhất nên khối lượng của nó coi như tập trung ở tâm, khi đó r = R + h (với h là độ cao tại điểm xét). Trong trường hợp bài toán này thì điểm xét ở bề mặt nên h = 0.
Thế hấp dẫn tại một điểm ở bề mặt của Trái Đất: ![]()
Thế hấp dẫn tại một điểm ở bề mặt của Mặt Trăng: ![]()
Câu hỏi 2 trang 21 Chuyên đề Vật lí 11 Kết nối
So sánh thế hấp dẫn do Trái Đất và Mặt Trăng gây ra tại trung điểm của đường nối tâm Trái Đất và tâm Mặt Trăng.
Lời giải:
Trung điểm của đường nối tâm Trái Đất và tâm Mặt Trăng sẽ cách đều tâm của Trái Đất và tâm của Mặt Trăng nên rTĐ = rMT. Tuy nhiên MTĐ > MMT.

Câu hỏi 3 trang 21 Chuyên đề Vật lí 11 Kết nối
Chứng tỏ rằng đơn vị của thế hấp dẫn là m2/s2.
Lời giải:
G: có đơn vị là N.m2/kg2
M: có đơn vị kg
r: có đơn vị m
![]()
Hoạt động 1 trang 23 Chuyên đề Vật lí 11 Kết nối
Tìm hiểu về vai trò của quỹ đạo địa tĩnh và các dự án vệ tinh của Việt Nam.
Lời giải:
Vai trò của quỹ đạo địa tĩnh:
Quỹ đạo địa tĩnh là quỹ đạo tròn ngay phía trên xích đạo Trái Đất (vĩ độ 0o), các vị trí vệ tinh chỉ có thể khác nhau theo kinh độ. Tâm của quỹ đạo này là tâm Trái Đất với chu kì quay là 24h (trùng với chu kì tự quay của Trái Đất), điều đó cho phép vệ tinh địa tĩnh nhìn thấy cùng một khu vực trên Trái Đất theo thời gian thực.
Các quỹ đạo địa tĩnh là hữu ích do chúng làm cho vệ tinh dường như là tĩnh đối với điểm cố định nào đó trên Trái Đất. Kết quả là các anten có thể hướng tới theo một phương cố định mà vẫn duy trì được kết nối với vệ tinh. Vệ tinh quay trên quỹ đạo theo hướng tự quay của Trái Đất ở độ cao khoảng 35786 km (22240 dặm) phía trên mặt đất.
Các dự án vệ tinh của Việt Nam
Sáu vệ tinh Việt Nam sở hữu trên quỹ đạo gồm 2 vệ tinh viễn thông, 1 vệ tinh lớp quan sát Trái Đất và 3 vệ tinh nghiên cứu là Vinasat-1 - vệ tinh viễn thông địa tĩnh đầu tiên của Việt Nam được phóng vào vũ trụ năm 2008; vệ tinh Vinasat-2 - vệ tinh viễn thông địa tĩnh phóng vào vũ trụ năm 2012; vệ tinh VNREDSat-1 - vệ tinh quan sát Trái Đất đầu tiên của Việt Nam được đưa lên vào quỹ đạo năm 2013.
Cũng năm 2013, vệ tinh PicoDragon (trọng lượng 1kg) là vệ tinh đầu tiên hoàn toàn do Việt Nam chế tạo được đưa lên quỹ đạo. Đến năm 2019, vệ tinh MicroDragon được đưa lên quỹ đạo nhằm phục vụ đào tạo về công nghệ vệ tinh cho các nghiên cứu viên Việt Nam tại Nhật Bản.
Mới đây nhất, vệ tinh NanoDragon được phóng lên quỹ đạo vào ngày 9/11, đánh dấu bước phát triển mới trong chinh phục vũ trụ của các nhà khoa học Việt Nam.
Các vệ tinh Việt Nam đang sở hữu đã đem lại nhiều lợi ích đối với sự phát triển kinh tế-xã hội; giám sát môi trường, khí tượng, bản đồ, dự báo và đánh giá tác động của biến đổi khí hậu…
Vệ tinh giám sát đã mang lại hiệu quả rõ rệt trong giám sát thiên tai; những số liệu từ vệ tinh đóng góp vào hiệu quả phát hiện các tàu đánh cá bất hợp pháp và liên tục thu thập dữ liệu đồng nhất bằng dữ liệu vệ tinh quang học, cho phép phân tích xu hướng ô nhiễm nước lâu dài.
Trong lĩnh vực nông nghiệp, bằng cách sử dụng dữ liệu vệ tinh ở phạm vi rộng, tần số cao và độ phân giải cao góp phần tăng độ chính xác trong việc theo dõi tình hình trồng lúa và phát hiện các hiện tượng tự nhiên liên quan đến nông nghiệp như hạn hán và hư hại do nhiễm mặn.
Đối với lâm nghiệp, các dữ liệu vệ tinh không chỉ góp phần làm giảm thời gian và chi phí liên quan đến thu thập tại chỗ, mà còn giúp thu thập dữ liệu về tình trạng thực vật rừng địa phương ở vùng sâu, vùng xa.
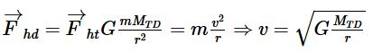
Hoạt động 2 trang 23 Chuyên đề Vật lí 11 Kết nối
Vệ tinh nằm trong trường hấp dẫn của Trái Đất thì nó cần có tốc độ tối thiểu bằng bao nhiêu để không rơi trở lại Trái Đất?
Lời giải:
Áp dụng định luật II Newton cho vệ tinh với lực hấp dẫn đóng vai trò là lực hướng tâm:

Gọi v1 là tốc độ khi bắt đầu phóng vệ tinh:

Hay: v1 = 7,9 km/s, gọi là tốc độ vũ trụ cấp 1 của Trái Đất.
Tốc độ vũ trụ cấp 1 là tốc độ một vật cần có để nó chuyển động theo quỹ đạo tròn gần bề mặt của một hành tinh mà không bị rơi bởi lực hấp dẫn của hành tinh đó.
Câu hỏi trang 24 Chuyên đề Vật lí 11 Kết nối
Vận dụng biểu thức (3.5) để xác định tốc độ vũ trụ cấp 1 của Mặt Trăng, Hoả tinh
Lời giải:
Khối lượng và bán kính của Mặt Trăng là: 7,2.1022 kg và 1738 km
Khối lượng và bán kính của Hoả tinh là: 6,4.1023 kg và 3396 km
