Giải Chuyên đề Vật lí 11 Cánh diều bài 2
Bài 2: Cường độ trường hấp dẫn. Thế hấp dẫn và thế năng hấp dẫn
- Mở đầu trang 11 Chuyên đề Vật lí 11 Cánh diều
- Luyện tập 1 trang 12 Chuyên đề Vật lí 11 Cánh diều
- Câu hỏi 1 trang 13 Chuyên đề Vật lí 11 Cánh diều
- Câu hỏi 2 trang 13 Chuyên đề Vật lí 11 Cánh diều
- Luyện tập 2 trang 13 Chuyên đề Vật lí 11 Cánh diều
- Luyện tập 3 trang 13 Chuyên đề Vật lí 11 Cánh diều
- Câu hỏi 3 trang 15 Chuyên đề Vật lí 11 Cánh diều
- Vận dụng trang 16 Chuyên đề Vật lí 11 Cánh diều
Giải Chuyên đề Vật lí 11 bài 2: Cường độ trường hấp dẫn. Thế hấp dẫn và thế năng hấp dẫn là tài liệu hữu ích giúp bạn đọc có thể trau dồi nội dung kiến thức, học tập tốt hơn môn Vật lí 11 Cánh diều nhé.
Mở đầu trang 11 Chuyên đề Vật lí 11 Cánh diều
Lực hấp dẫn của Mặt Trăng yếu hơn của Trái Đất nên khi di chuyển trên đó, các nhà thám hiểm có thể bật nhảy một cách dễ dàng, mặc dù họ đang mang một bộ quần áo bảo hộ cồng kềnh (Hình 2.1). Tại một vị trí, độ mạnh, yếu của trường hấp dẫn phụ thuộc vào những yếu tố nào?

Lời giải:
Tại một vị trí, độ mạnh, yếu của trường hấp dẫn phụ thuộc vào những yếu tố:
- Khối lượng của vật tạo ra trường hấp dẫn đó
- Khoảng cách từ vật đặt trong trường hấp dẫn đến tâm của vật tạo ra trường hấp dẫn đó.
Luyện tập 1 trang 12 Chuyên đề Vật lí 11 Cánh diều
a) Dựa vào Bảng 2.1, xác định cường độ trường hấp dẫn tại bề mặt các thiên thể.
b) Các kết quả tính được giúp ích gì cho bạn trong việc giải thích vì sao Mặt Trăng có lớp khí quyền rất mỏng (gần như không có) trong khi Mặt Trời có lớp khí quyển rất dày?

Lời giải:
a) Tính cường độ trường hấp dẫn tại bề mặt dựa vào công thức:
\(g = \frac{GM}{r^{2} }\)
|
Vật thể |
Khối lượng (kg) |
Bán kính (km) |
Cường độ trường hấp dẫn tại bề mặt |
|
Trái Đất |
5,97.1024 |
6370 |
9,81 |
|
Mặt Trăng |
7,37.1022 |
1737 |
1,63 |
|
Mặt Trời |
1,99.1030 |
696340 |
273,7 |
b) Do cường độ trường hấp dẫn tại bề mặt Mặt Trăng nhỏ nên lực hấp dẫn của nó tác dụng lên các vật chất gần bề mặt của nó cũng nhỏ dẫn đến lớp khí quyển xung quanh nó rất mỏng (hầu như không có). Cường độ trường hấp dẫn tại bề mặt của Mặt Trời rất lớn nên lực hấp dẫn của nó tác dụng lên vật chất gần bề mặt của nó rất lớn, dẫn đến Mặt Trời có lớp khí quyển rất dày.
Câu hỏi 1 trang 13 Chuyên đề Vật lí 11 Cánh diều
Sử dụng số liệu ở Bảng 2.1, chứng minh rằng, cường độ trường hấp dẫn tại một điểm gần bề mặt Trái Đất chính là gia tốc rơi tự do của vật khi được thả rơi tại điểm đó.

Lời giải:
Như đã tính toán ở trên:
|
Vật thể |
Khối lượng (kg) |
Bán kính (km) |
Cường độ trường hấp dẫn tại bề mặt |
|
Trái Đất |
5,97.1024 |
6370 |
9,81 |
Cường độ trường hấp dẫn tại bề mặt Trái Đất có giá trị là 9,81 m/s2 đúng bằng với gia tốc rơi tự do của vật khi được thả rơi tại điểm đó.
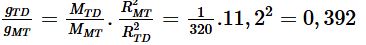
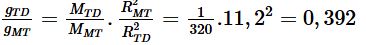
Câu hỏi 2 trang 13 Chuyên đề Vật lí 11 Cánh diều
Khối lượng Mộc Tinh lớn hơn khối lượng Trái Đất 320 lần trong khi bán kính của nó lớn hơn bán kính Trái Đất 11,2 lần. Nếu cường độ trường hấp dẫn trên bề mặt Trái Đất là 9,81 N/kg thì cường độ trường hấp dẫn trên bề mặt Mộc Tinh là bao nhiêu?
Lời giải:
Cường độ trường hấp dẫn trên bề mặt Trái Đất: 
Cường độ trường hấp dẫn trên bề mặt Mộc Tinh: 
Ta có tỉ số: ![]()
![]()
Luyện tập 2 trang 13 Chuyên đề Vật lí 11 Cánh diều
a) Tính cường độ trường hấp dẫn tại:
• Đỉnh Fansipan (Phan-xi-păng) có độ cao 3 143 m so với mực nước biển.
• Trạm Vũ trụ quốc tế (ISS) có độ cao quỹ đạo là 370 km so với mực nước biển.
b) Cường độ trường hấp dẫn tại hai nơi trên giảm bao nhiêu phần trăm so với cường độ trường hấp dẫn trên mặt đất.
Lời giải:
a) Cường độ trường hấp dẫn tại:
• Đỉnh Fansipan (Phan-xi-păng) có độ cao 3 143 m so với mực nước biển.

• Trạm Vũ trụ quốc tế (ISS) có độ cao quỹ đạo là 370 km so với mực nước biển.

b) Cường độ trường hấp dẫn tại đỉnh Fansipan giảm: 9,81−9,804/9,81.100% = 0,06% so với cường độ trường hấp dẫn trên mặt đất.
Cường độ trường hấp dẫn tại trạm ISS giảm: 9,81−8,766/9,81.100% = 10,6% so với cường độ trường hấp dẫn trên mặt đất.
Luyện tập 3 trang 13 Chuyên đề Vật lí 11 Cánh diều
Gia tốc rơi tự do của quả táo ở gần mặt đất là 9,81 m/s. Biết rằng khối lượng quả táo là 0,3 kg.
a) Tính độ lớn lực hấp dẫn do quả táo hút Trái Đất.
b) Lực hút này sẽ gây ra cho Trái Đất gia tốc bằng bao nhiêu?
Lời giải:
a) Lực hấp dẫn do quả táo hút Trái Đất: F = mg = 0,3.9,81 = 2,943N
b) Lực hút này sẽ gây ra cho Trái Đất gia tốc bằng:
một gia tốc rất nhỏ điều đó có thể giải thích vì sao chúng ta nhìn thấy quả táo rơi về phía Trái Đất, còn không nhìn thấy Trái Đất rơi về phía quả táo.
Câu hỏi 3 trang 15 Chuyên đề Vật lí 11 Cánh diều
Từ công thức (2.5), chứng minh thế hấp dẫn bằng không ở các điểm xa vô cùng.
Dấu “-” trong công thức (2.5) cho biết điều gì về thế hấp dẫn?
Lời giải:
Công thức (2.5): Φ = −GM/r
Khi điểm ở xa vô cùng thì r rất lớn, nên Φ ≈ 0
Dấu “-” trong công thức (2.5) cho biết, trong quá trình dịch chuyển từ điểm A ra mốc thế năng ở xa vô cùng có lực hấp dẫn của Trái Đất luôn ngược chiều với độ dịch chuyển nên sinh công âm.
Vận dụng trang 16 Chuyên đề Vật lí 11 Cánh diều
Sử dụng dữ kiện trong Bảng 2.1 để trả lời các câu hỏi sau:

Một mảnh thiên thạch có khối lượng 200 kg từ khoảng cách xa vô cùng lao xuống Mặt Trăng do tác dụng của lực hấp dẫn. Chọn mốc thế năng ở xa vô cùng.
a) Tính thế hấp dẫn tại bề mặt Mặt Trăng.
b) Tính thế năng hấp dẫn của mảnh thiên thạch ngay trước khi va chạm với bề mặt Mặt Trăng.
c) Do Mặt Trăng không có khí quyển, nên toàn bộ sự thay đổi thế năng hấp dẫn của mảnh thiên thạch từ khoảng cách xa vô cùng đến khi tới bề mặt Mặt Trăng chuyển hoá thành động năng của mảnh thiên thạch. Tính tốc độ va chạm của mảnh thiên thạch.
Lời giải:

b) Thế năng hấp dẫn của thiên thạch ngay trước khi va chạm với bề mặt Mặt Trăng.
Wt = mΦ = −200.2,8.106 = −5,6.108J
c) Thế năng chuyển hoá hoàn toàn thành động năng nên Wt = Wđ
