Giao diện mới của VnDoc Pro: Dễ sử dụng hơn - chỉ tập trung vào lớp bạn quan tâm. Vui lòng chọn lớp mà bạn quan tâm: Lưu và trải nghiệm
Đóng
Điểm danh hàng ngày
  • Hôm nay +3
  • Ngày 2 +3
  • Ngày 3 +3
  • Ngày 4 +3
  • Ngày 5 +3
  • Ngày 6 +3
  • Ngày 7 +5
Bạn đã điểm danh Hôm nay và nhận 3 điểm!
Nhắn tin Zalo VNDOC để nhận tư vấn mua gói Thành viên hoặc tải tài liệu Hotline hỗ trợ: 0936 120 169

50 câu trắc nghiệm Toán lớp 12: Hình học không gian

Lớp: Lớp 12
Môn: Toán
Loại File: PDF + Word
Phân loại: Tài liệu Tính phí

50 câu trắc nghiệm Toán lớp 12: Hình học không gian

50 câu trắc nghiệm Toán lớp 12: Hình học không gian. Đây là tài liệu tham khảo hay được Vndoc.com sưu tầm. Tài liệu gồm 50 câu hỏi trắc nghiệm với phạm vi kiến thức nằm trong phần hình học không gian. Hi vọng với tài liệu này sẽ giúp các bạn ôn tập và củng cố lại kiến thức. Mời các bạn tham khảo chi tiết tại đây nhé.

VnDoc.com xin gửi tới bạn đọc bài viết 50 câu trắc nghiệm Toán lớp 12: Hình học không gian để bạn đọc cùng tham khảo. Bài viết được tổng hợp gồm có 50 câu hỏi trắc nghiệm về môn Toán lớp 12 phần hình học không gian. Qua bài tập trắc nghiệm bạn đọc có thể luyện tập được cách tính thể tích khối lăng trụ, cách tính thể tích hình chóp, các tính thể tích khối tứ diện, tính diện tích mặt cầu ngoại tiếp hình chóp, tính thể tích khối chóp, nhận biết khối hộp... Mời các bạn cùng tham khảo chi tiết và tải về tại đây nhé.

50 câu trắc nghiệm toán lớp 12: Hình học không gian

Câu 1: Cho lăng trụ tam giác đều ABC. A'B'C' cạnh đáy a = 4, biết diện tích tam giác A'BC bằng 8. Thể tích khối lăng trụ ABC. A'B'C' bằng.

trắc nghiệm hình học không gian trắc nghiệm hình học không gian trắc nghiệm hình học không gian trắc nghiệm hình học không gian

Câu 2: Cho hình chóp S.ABC có SA = 3a (với a > 0); SA tạo với đáy (ABC) một góc bằng 600. Tam giác ABC vuông tại B, ABC = 300. G là trọng tâm của tam giác ABC. Hai mặt phẳng (SGB) và (SGC) cùng vuông góc với mặt phẳng (ABC). Tính thể tích của hình chóp S.ABC theo a.

trắc nghiệm hình học không gian trắc nghiệm hình học không gian

trắc nghiệm hình học không gian trắc nghiệm hình học không gian

Câu 3: Đáy của hình chóp S.ABCD là một hình vuông cạnh a. Cạnh bên SA vuông góc với mặt phẳng đáy và có độ dài là a. Thể tích khối tứ diện S.BCD bằng:

A: a3/6 B: a3/3 C: a3/4 D: a3/8

Câu 4: Cho hình chóp S.ABC có đáy ABC là tam giác vuông cân tại B, AB=BC=atrắc nghiệm hình học không gian, SAB=SCD=900 và khoảng cách từ A đến mặt phẳng (SBC) bằng atrắc nghiệm hình học không gian. Tính diện tích mặt cầu ngoại tiếp hình chóp S.ABC theo a.

trắc nghiệm hình học không gian trắc nghiệm hình học không gian trắc nghiệm hình học không gian trắc nghiệm hình học không gian

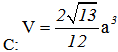
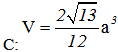
Câu 5: Cho hình chóp S.ABC có đáy là tam giác đều cạnh a, góc giữa SC và mp(ABC) là 450. Hình chiếu của S lên mp(ABC) là điểm H thuộc AB sao cho HA = 2HB. Biết trắc nghiệm hình học không gianTính khoảng cách giữa 2 đường thẳng SA và BC:

trắc nghiệm hình học không gian trắc nghiệm hình học không gian trắc nghiệm hình học không gian trắc nghiệm hình học không gian

Câu 6: Một hình chóp tam giác có đường cao bằng 100cm và các cạnh đáy bằng 20cm, 21cm, 29cm. Thể tích khối chóp đó bằng:

A: 7000 cm3 B: 6213 cm3 C: 6000 cm3 D: 7000trắc nghiệm hình học không giancm3

Câu 7: Cho hình chóp S.ABC có đáy ABC là tam giác đều; mặt bên SAB nằm trong mặt phẳng vuông góc với mặt phẳng đáy và tam giác SAB vuông tại S, SA = atrắc nghiệm hình học không gian, SB = a . Gọi K là trung điểm của đoạn AC. Tính thể tích khối chóp S.ABC .

A: V = a3/4 B: V = a3/3 C: V = a3/6 D: V = a3/2

Câu 8: Trong các mệnh đề sau, mệnh đề nào đúng?

A: Tồn tại một hình đa diện có số đỉnh và số mặt bằng nhau
B: Tồn tại một hình đa diện có số cạnh bằng số đỉnh
C: Số đỉnh và số mặt của một hình đa diện luôn luôn bằng nhau
D: Tồn tại một hình đa diện có số cạnh và số mặt bằng nhau

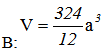
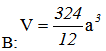
Câu 9: Cho lăng trụ đứng ABC.A'B'C' có đáy là tam giác cân tại A, AB = AC = 2a. Trắc nghiệm hình học không gian. Góc giữa (A'BC) và (ABC) là 450. Thể tích khối lăng trụ là:

Trắc nghiệm hình học không gian Trắc nghiệm hình học không gian Trắc nghiệm hình học không gian Trắc nghiệm hình học không gian

Câu 10: Cho hình chóp S.ABC có tam giác SAB đều cạnh a, tam giác ABC cân tại C. Hình chiếu của S trên (ABC) là trung điểm của cạnh AB, góc hợp bởi cạnh SC và mặt đáy là 300. Tính thể tích khối chóp S.ABC theo a .

trắc nghiệm hình học không gian trắc nghiệm hình học không gian trắc nghiệm hình học không gian trắc nghiệm hình học không gian

Trên đây VnDoc.com vừa giới thiệu tới các bạn 50 câu trắc nghiệm Toán lớp 12: Hình học không gian, mong rằng qua bài viết này các bạn có thể học tập tốt hơn môn Toán lớp 12. Mời các bạn cùng tham khảo thêm các môn Ngữ văn 12, tiếng Anh 12, đề thi học kì 1 lớp 12, đề thi học kì 2 lớp 12...

Mời bạn đọc cùng tham gia nhóm Tài liệu học tập lớp 12 của VnDoc.com để có thêm tài liệu học tập nhé

Chọn file muốn tải về:
Đóng Chỉ thành viên VnDoc PRO/PROPLUS tải được nội dung này!
Đóng
79.000 / tháng
Đặc quyền các gói Thành viên
PRO
Phổ biến nhất
PRO+
Tải tài liệu Cao cấp 1 Lớp
30 lượt tải tài liệu
Xem nội dung bài viết
Trải nghiệm Không quảng cáo
Làm bài trắc nghiệm không giới hạn
Mua cả năm Tiết kiệm tới 48%

Có thể bạn quan tâm

Xác thực tài khoản!

Theo Nghị định 147/2024/ND-CP, bạn cần xác thực tài khoản trước khi sử dụng tính năng này. Chúng tôi sẽ gửi mã xác thực qua SMS hoặc Zalo tới số điện thoại mà bạn nhập dưới đây:

Số điện thoại chưa đúng định dạng!
Số điện thoại này đã được xác thực!
Bạn có thể dùng Sđt này đăng nhập tại đây!
Lỗi gửi SMS, liên hệ Admin
Sắp xếp theo
🖼️

Toán 12

Xem thêm
🖼️

Gợi ý cho bạn

Xem thêm