Bài 4 trang 162 sgk hóa 11
Giải Hóa 11 bài 36: Luyện tập hidrocacbon thơm
Bài 4 trang 162 sgk hóa 11 được VnDoc biên soạn hướng dẫn các bạn học sinh giải bài tập sách giáo khoa hóa 11 bài 36. Với phương pháp giải chi tiết hy vọng giúp các bạn học sinh dễ dàng hiểu bài cũng như có thể biết cách vận dụng giải bài tập tương tự.
Bài 4 sgk trang 162 hóa 11
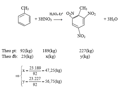
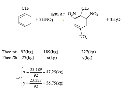
Cho 23,0 kg toluen tác dụng với hỗn hợp axit HNO3 đặc, dư (xúc tác axit H2SO4 đặc). Giả sử toàn bộ toluen chuyển thành 2,4,6-trinitrotoluen (TNT).
a) Khối lượng TNT thu được
b) Khối lượng HNO3 đã phản ứng
Đáp án hướng dẫn giải

Xem giải chi tiết bài tập sách giáo khoa hóa 11 bài 36 tại:
Xem giải chi tiết bài tập sách giáo khoa hóa 11 bài 36 tại:
Bài 1 trang 162 SGK Hóa 11: Viết công thức cấu tạo và gọi tên các hiđrocacbon thơm có công thức phân tử C8H10
Bài 2 trang 162 sgk Hóa 11: Trình bày phương pháp hóa phân biệt các chất lỏng sau: benzen, stiren, toluen và hex-1-in.
Bài 3 trang 162 SGK Hóa 11: Viết phương trình hóa học của các phản ứng điều chế etilen, axetilen từ metan
Bài 5 trang 162 SGK Hóa 11: Ankylbenzen X có phần trăm khối lượng cacbon bằng 91,31%
Bài 6 trang 162 SGK Hóa 11: Hiđrocacbon X ở thể lỏng có tỉ lệ phần trăm khối lượng H xấp xỉ 7,7%
..............................
Trên đây VnDoc.com đã giới thiệu tới bạn đọc tài liệu: Bài 4 trang 162 sgk hóa 11. Để có kết quả cao hơn trong học tập, VnDoc xin giới thiệu tới các bạn học sinh tài liệu Hóa học lớp 10, Giải bài tập Hóa học lớp 11, Thi thpt Quốc gia môn Văn, Thi thpt Quốc gia môn Lịch sử, Thi thpt Quốc gia môn Địa lý, Thi thpt Quốc gia môn Toán, đề thi học kì 1 lớp 11, đề thi học kì 2 lớp 11 mà VnDoc tổng hợp và đăng tải.
Để tiện trao đổi, chia sẻ kinh nghiệm giảng dạy và học tập môn học THPT, VnDoc mời các bạn truy cập nhóm riêng dành cho lớp 11 sau: Nhóm Tài liệu học tập lớp 11 để có thể cập nhật được những tài liệu mới nhất.