Bảng nguyên hàm các hàm số thường gặp
Bảng nguyên hàm các hàm số thường gặp tổng hợp công thức tính nguyên hàm đầy đủ và chi tiết của các hàm cơ bản và hàm nâng cao. Đây là tài liệu tham khảo hay giúp các bạn học tốt môn Toán lớp 12, ôn thi THPT Quốc gia 2019, luyện thi đại học môn Toán hiệu quả. Mời các bạn cùng tham khảo.
Nội dung Bảng nguyên hàm các hàm số thường gặp
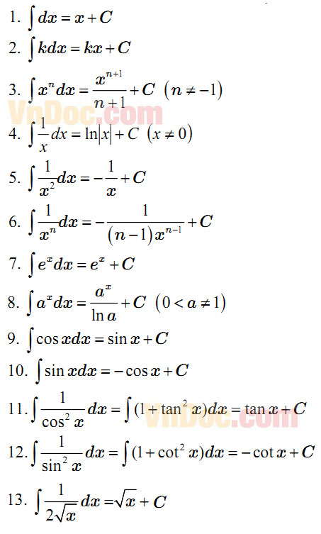
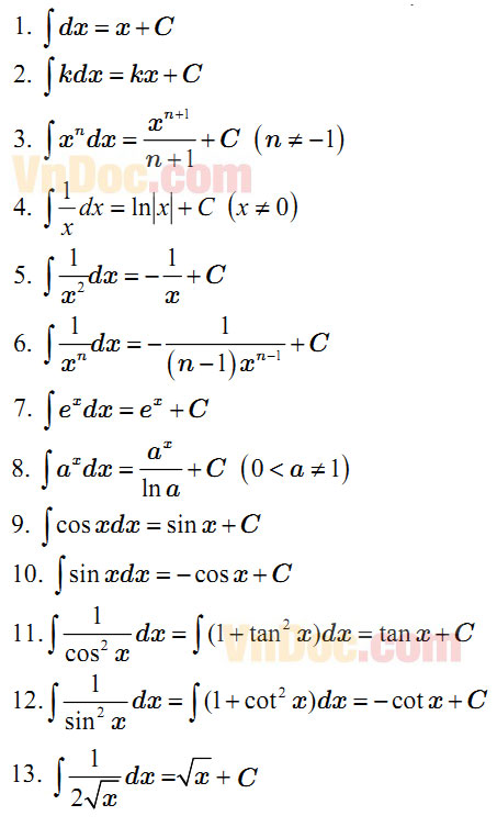
Bảng các nguyên hàm cơ bản

Nguyên hàm của các hàm số thường gặp
Bảng nguyên hàm Lượng giác nâng cao

Bảng nguyên hàm mở rộng

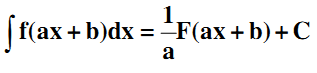
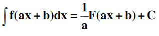
Thực ra, ta đã áp dụng tính chất sau đây: Nếu F(x) là một nguyên hàm của f(x) thì:

Bảng nguyên hàm nâng cao (a ≠ 0)

Mời các bạn tham khảo thêm các bài viết dưới đây của chúng tôi:
- Công thức giải nhanh Toán 12
- Công thức Toán lớp 12 thi THPT Quốc gia
- Tóm tắt Lí thuyết Toán 12
- Chuyên đề nguyên hàm
Trên đây VnDoc đã giới thiệu tới bạn đọc Bảng nguyên hàm các hàm số thường gặp. Để có kết quả cao hơn trong học tập, VnDoc xin giới thiệu tới các bạn học sinh tài liệu Soạn bài lớp 12, Giải bài tập Toán lớp 12, Giải bài tập Hóa học lớp 12, Giải bài tập Vật Lí 12, Tài liệu học tập lớp 12 mà VnDoc tổng hợp và đăng tải.