Bộ câu hỏi trắc nghiệm Công thức xác suất toàn phần - công thức Bayes
Toán lớp 12
Lớp:
Lớp 12
Môn:
Toán
Dạng tài liệu:
Giải bài tập
Loại:
Bộ tài liệu
Loại File:
Word + PDF
Phân loại:
Tài liệu Tính phí
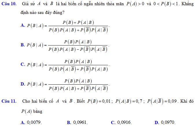
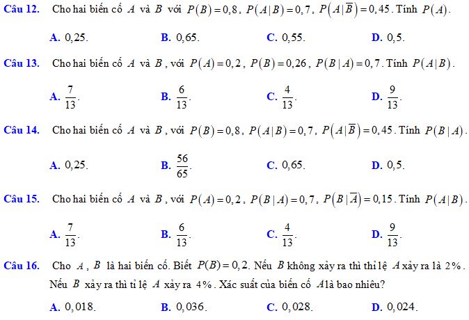
36 câu hỏi trắc nghiệm Công thức xác suất toàn phần - công thức Bayes
Bộ câu hỏi trắc nghiệm Công thức xác suất toàn phần - công thức Bayes được VnDoc.com sưu tầm và xin gửi tới bạn đọc cùng tham khảo. Bài viết được tổng hợp gồm có 36 câu hỏi trắc nghiệm. Bài viết có đáp án và lời giải chi tiết kèm theo. Mời các bạn cùng tham khảo bài viết dưới đây để có thêm tài liệu học tập thật tốt môn Toán lớp 12 nhé.
Công thức xác suất toàn phần - công thức Bayes





Mời các bạn cùng tải về bản DOC hoặc PDF để xem đầy đủ nội dung
Luyện tập mở rộng