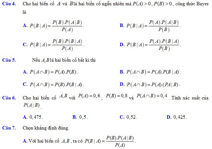
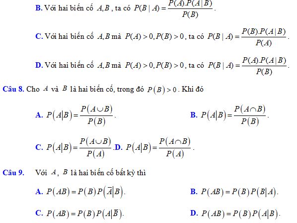
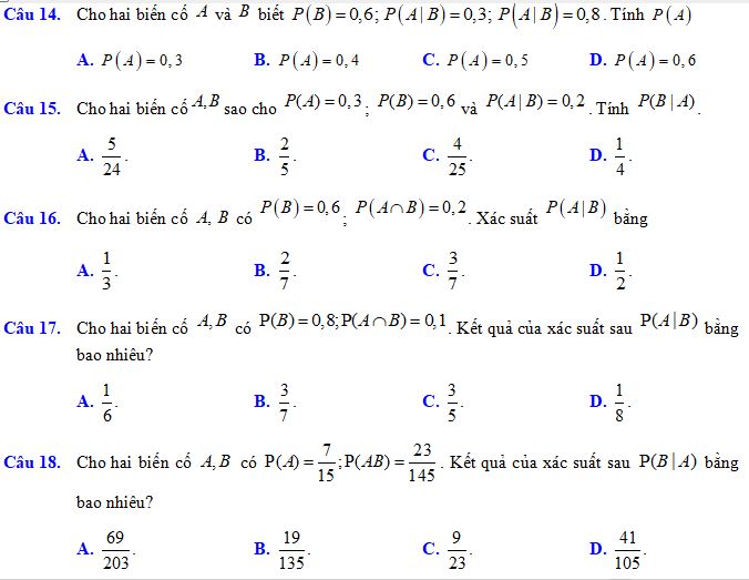
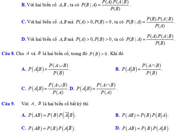
Bộ câu hỏi trắc nghiệm Xác suất có điều kiện
Đây là tài liệu Cao cấp - Chỉ dành cho Thành viên VnDoc ProPlus.
- Tải tất cả tài liệu lớp 12 (Trừ Giáo án, bài giảng)
- Trắc nghiệm không giới hạn
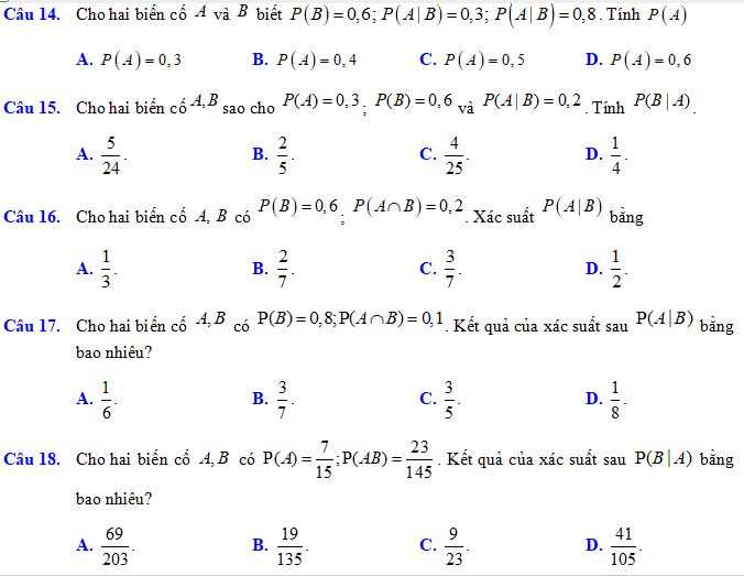
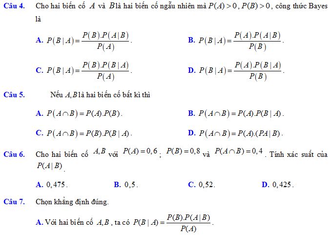
72 câu hỏi trắc nghiệm Xác suất có điều kiện
Bộ câu hỏi trắc nghiệm Xác suất có điều kiện được VnDoc.com sưu tầm và xin gửi tới bạn đọc cùng tham khảo. Bài viết được tổng hợp gồm có 72 câu hỏi trắc nghiệm ôn tập phần Xác suất có điều kiện. Bài viết có đáp án và lời giải chi tiết kèm theo. Mời các bạn cùng theo dõi chi tiết bài viết dưới đây để có thêm tài liệu học tập môn Toán lớp 12 nhé.
Xác suất có điều kiện





Mời các bạn cùng tải về bản DOC hoặc PDF để xem đầy đủ nội dung