Câu hỏi trắc nghiệm Toán học lớp 10
Câu hỏi trắc nghiệm Toán học lớp 10
Câu hỏi trắc nghiệm toán học lớp 10 giúp các bạn ôn tập lại kiến thức về phần phương trình, phương trình bậc nhất, phương trình bậc hai, phương trình trùng phương lớp 10 được chắc chắn nhất. Hy vọng tài liệu này sẽ giúp đỡ các bạn trong quá trình ôn luyện và tự kiểm tra, nắm chắc kiến thức học tiếp chương trình Toán lớp 11.
10 bộ đề thi học kì 1 môn Toán lớp 10
Bài tập Toán lớp 10 chương 1: Mệnh đề - Tập hợp
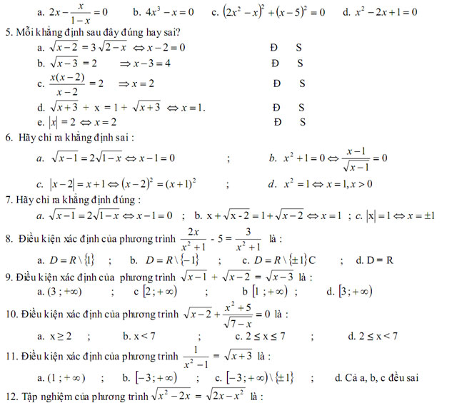
CÂU HỎI TRẮC NGHIỆM CHƯƠNG III - TOÁN KHỐI 10
I. ĐẠI CƯƠNG VỀ PHƯƠNG TRÌNH:
1. Hai phương trình được gọi là tương đương khi:
a. Có cùng dạng phương trình b. Có cùng tập xác định
c. Có cùng tập hợp nghiệm d. Cả a, b, c đều đúng
2. Trong các khẳng định sau, phép biến đổi nào là tương đương:

3. Cho phương trình: f1(x) = g1(x) (1); f2(x) = g2(x) (2); f1(x) + f2(x) = g2(x) + g2(x) (3).
Trong các phát biểu sau, tìm mệnh đề đúng?
a. (3) tương đương với (1) hoặc (2) c. (2) là hệ quả của (3)
b. (3) là hệ quả của (1) d. Các phát biểu a, b, c đều sai.
4. Cho phương trình 2x2 - x = 0 (1). Trong các phương trình sau đây, phương trình nào không phải là hệ quả của phương trình (1)?

a. T = {0} ; b. T = Ø ; c. T = {0; 2} ; d. T = {2}