Đề cương ôn tập học kì 1 môn Toán lớp 9 năm học 2017 - 2018
Đề cương ôn tập học kì 1 môn Toán lớp 9
Đề cương ôn tập học kì 1 môn Toán lớp 9 năm học 2017 - 2018. Tài liệu gồm 2 phần lí thuyết và bài tập nhằm giúp các bạn học sinh nắm chắc kiến thức. Chúng tôi hi vọng rằng tài liệu này sẽ giúp ích cho các bạn học sinh trong quá trình ôn tập. Chúc các bạn đạt được kết quả học tập cao trong kì thi học kì 1 này. Mời các bạn tham khảo.
Đề cương ôn tập học kì 1 môn Toán lớp 9 năm học 2016 - 2017
Toán lớp 9: Lý thuyết về tính chất của hai tiếp tuyến cắt nhau
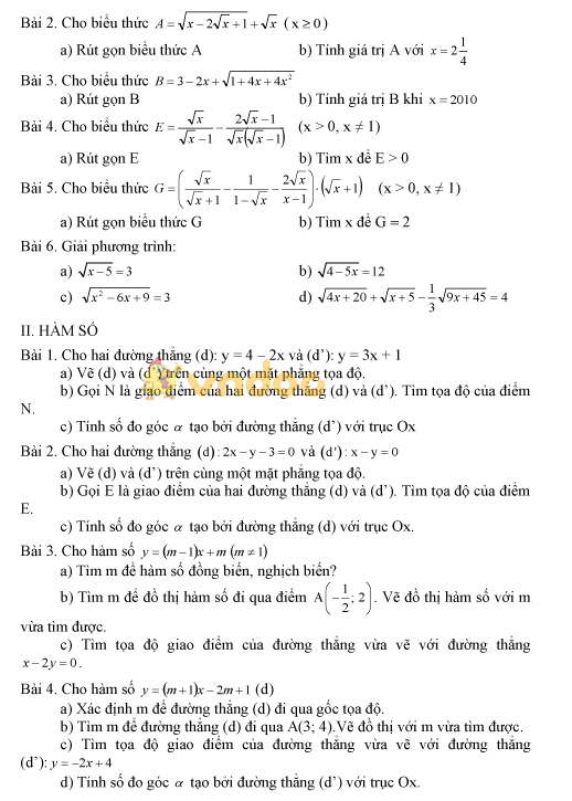
Đề cương ôn tập học kì 1 lớp 9 môn Toán trường THCS Đoàn Thị Điểm năm học 2017 - 2018




Ngoài đề thi trên, VnDoc còn có rất nhiều đề thi học kì 1 lớp 9 khác để các bạn tham khảo. Các bạn có thể tải đề thi học kì 1 lớp 9 môn Toán của những năm trước về để luyện tập thêm, chuẩn bị tốt nhất cho kì thi học kì sắp tới. Chúc các bạn học tốt. Mời các bạn tham khảo thêm đề thi hoc kì 1 muôn Toán lớp 9: Đề kiểm tra học kì 1 lớp 9 môn Toán Phòng GD&ĐT Quận Hai Bà Trưng năm học 2016 - 2017
Ở thời điểm hiện tại, các em học sinh sẽ phải chuẩn bị cho cả kì thi học kì 1 lớp 9 sắp tới. Mời các em cùng tham khảo các đề thi học kì 1 lớp 9 môn Toán, Văn, Anh mà chúng tôi đã chuẩn bị. Những đề thi học kì 1 lớp 9 này được chúng tôi sưu tầm và chọn lọc từ các trường THCS trên cả nước. Chúc các bạn học tốt.