Đề kiểm tra 45 phút học kì 2 môn Vật lý lớp 10 trường THPT Phan Ngọc Hiển, Cà Mau năm học 2014 - 2015
Đề kiểm tra 45 phút học kì 2 môn Vật lý lớp 10
Mời các em học sinh tham khảo Đề kiểm tra 45 phút học kì 2 môn Vật lý lớp 10 trường THPT Phan Ngọc Hiển, Cà Mau năm học 2014 - 2015 với nhiều dạng bài tập hay có kèm đáp án cụ thể. Hi vọng tài liệu này sẽ giúp các em luyện tập và củng cố kiến thức, ôn thi học kì II lớp 10 hiệu quả.
Đề thi học kì 2 môn Vật lý lớp 10 trường THPT Phan Ngọc Hiển, Cà Mau năm 2015
Đề thi giữa học kì 2 môn Vật Lý lớp 10 trường THPT Lý Thái Tổ, Bắc Ninh
Đề thi giữa học kì 2 môn Vật lý lớp 10 trường THPT Phan Văn Trị, Cần Thơ năm học 2015 - 2016
|
Họ và tên: …………………………………. Lớp: 10C…. |
KIỂM TRA 1 TIẾT Môn: Vật lí - 10 cơ bản |
I. Trắc nghiệm
Câu 1: Gọi A là công của lực thực hiện trong thời gian t. Biểu thức nào sau đây là đúng với biểu thức công suất?
![]()
Câu 2: Một cần cẩu nâng một kiện hàng có khối lượng 800kg lên cao 5m trong thời gian 20s, lấy g = 10m/s2. Công suất của cần cẩu là bao nhiêu:
A. 200W B. 400W C. 4000W D. 2000W
Câu 3: Một ôtô khối lượng 1 tấn chuyển động với vận tốc 72 km/h. Động năng của ôtô có giá trị là bao nhiêu:
A. 15.105 J B. 2.105 J C. 25.105 J D. 105 J
Câu 4: Động năng của 1 vật thay đổi ra sao nếu khối lượng của vật không đổi nhưng vận tốc tăng 2 gấp lần?
A. tăng 2 lần B. tăng 4 lần C. tăng 6 lần D. Giảm 2 lầnVật
Câu 5: Khi một vật chuyển động rơi tự do từ trên xuống dưới thì:
A. thế năng của vật giảm dần. B. động năng của vật giảm dần.
C. thế năng của vật tăng dần. D. thế năng của vật không đổi.
Câu 6: Một vật có khối lượng 1kg, có thế năng trọng trường là 20J. (lấy g = 10m/s2). Khi đó vật có độ cao là bao nhiêu:
A. 12 m B. 6m. C. 3m D. 2m.
Câu 7: Tính chất nào sau đây KHÔNG phải là của phân tử?
A. Giữa các phân tử có khoảng cách. B. Có lúc đứng yên, có lúc chuyển động
C. Chuyển động không ngừng. D. Chuyển động càng nhanh thì nhiệt độ của vật càng cao.
Câu 8: Công thức nào sau đây nói đến quá trình đẳng nhiệt?
![]()
Câu 9: Trong hệ toạ độ (P,T) đường biểu diễn nào sau đây là đường đẳng tích?
A. Đường hypebol.
B. Đường thẳng xiên góc nếu kéo dài thì đi qua góc toạ độ.
C. Đường thẳng xiên góc nếu kéo dài thì không đi qua góc toạ độ.
D. Đường thẳng cắt trục áp suất tại điểm p = p0.
Câu 10: Một khối khí được nhốt trong bình kín có thể tích không đổi ở áp suất 105 Pa và nhiệt độ 300 K. Nếu tăng áp suất khối khí đến 1,5.105 Pa thì nhiệt độ khối khí là bao nhiêu?
A. 300K B. 300C C. 450K D. 450C
Câu 11: Trong quá trình đẳng áp của một lượng khí nhất định thì:
A. thể tích tỉ lệ nghịch với nhiệt độ tuyệt đối
B. thể tích tỉ lệ nghịch với áp suất
C. thể tích tỉ lệ thuận với nhiệt độ tuyệt đối
D. thể tích tỉ lệ thuận với áp suất.
Câu 12: Biểu thức đúng của phương trình trạng thái khí lý tưởng là:
![]()
II. Tự luận:
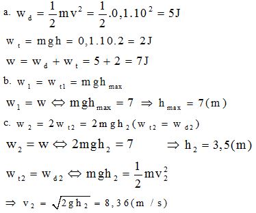
Câu 1: Một vật có khối lượng 100 g được ném thẳng đứng lên cao với vận tốc 10 m/s từ độ cao 2 m so với mặt đất. Bỏ qua sức cản của không khí, lấy g = 10 m/s2. Chọn gốc thế năng tại mặt đất. Hãy tính:
a. Động năng, thế năng, cơ năng của hòn bi tại lúc ném.
b. Độ cao cực đại mà hòn bi đạt được.
c. Độ cao và vận tốc của vật khi vật có động năng bằng thế năng.
Câu 2: Đun nóng đẳng tích một khối khí ở nhiệt độ tăng 10C thì áp suất khí tăng thêm 1/360 áp suất ban đầu. Tìm nhiệt độ ban đầu của khí.
Đáp án đề kiểm tra 45 phút học kì 2 môn Vật lý lớp 10
I. Trắc nghiệm
|
1. A |
2. D |
3. B |
4. B |
5. A |
6. D |
|
7. B |
8. B |
9. B |
10. C |
11. C |
12. A |
II. Tự luận:
Bài 1

Bài 2:
