Đề kiểm tra giữa học kì 1 môn Toán lớp 10 năm học 2015 - 2016 trường THPT Thống Nhất A, Đồng Nai
Đề kiểm tra giữa học kì 1 môn Toán lớp 10
Đề kiểm tra giữa học kì 1 môn Toán lớp 10 năm học 2015 - 2016 trường THPT Thống Nhất A, Đồng Nai là đề thi giữa kì I lớp 10 được VnDoc.com sưu tầm và đăng tải. Đề thi môn Toán có đáp án dành cho các bạn tham khảo, ôn tập, hệ thống kiến thức, ôn luyện chuẩn bị cho kì thi học kì 1 môn Toán sắp tới hiệu quả nhất. Mời các bạn tham khảo.
10 bộ đề thi học kì 1 môn Toán lớp 10
Đề kiểm tra giữa học kì 1 môn Vật lý lớp 10 năm học 2015 - 2016 trường THPT Thống Nhất A, Đồng Nai
Đề kiểm tra giữa học kì 1 môn Ngữ văn lớp 10 năm học 2015 - 2016 trường THPT Thống Nhất A, Đồng Nai
Đề thi khảo sát chất lượng môn Toán lớp 10 trường THPT Minh Châu, Hưng Yên năm 2015 - 2016 (Lần 2)
Đề thi giữa học kì 1 môn Toán lớp 10 trường THPT Thuận Thành số 3, Bắc Ninh năm học 2015 - 2016
THPT Thống Nhất A
ĐỀ THI GIỮA HỌC KỲ I NĂM HỌC 2015 – 2016
MÔN: TOÁN 10
(Thời gian: 45 phút)
Bài 1 (2 điểm):
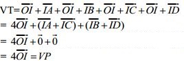
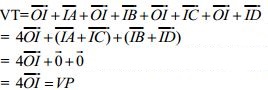
Cho hình bình hành ABCD tâm I. Chứng minh rằng với mọi điểm O bất kì: ![]()
Bài 2 (3 điểm):
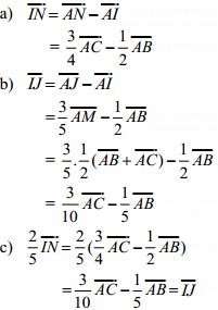
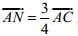
Cho tam giác ABC. I là trung điểm AB, N thuộc AC sao cho
, M là trung điểm BC, J thuộc AM sao cho
.
![]()
c. Chứng minh rằng I, J, N thẳng hàng.
Bài 3 (5 điểm):
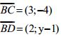
Cho tam giác ABC với A(4; 2), B(-2; 1), C(1; -3)
a. Tìm tọa độ điểm D thuộc trục Oy sao cho ba điểm D, B, C thẳng hàng.
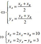
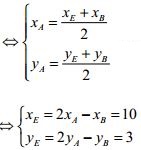
b. Tìm tọa độ điểm E sao cho A là trung điểm EB.
c. Tìm tọa độ điểm F sao cho ABFC là hình bình hành.
Đáp án đề kiểm tra giữa học kì 1 môn Toán lớp 10
Bài 1 (2 điểm)

Bài 2 (3 điểm)

Suy ra 2 vecto cùng phương, do đó I, J, N thẳng hàng
Bài 3 (5 điểm)
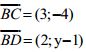
a) Goi tọa độ D(0, y)

D, B, C thẳng hàng ↔
cùng phương ↔ 2/3 = (y - 1)/-4 ↔ y = -5/3 → D = (0; -5/3)
b) Gọi E(xE; yE)
A là trung điểm EB

→ E(10; 3)
c) Gọi F(xF; yF)
