Đề kiểm tra học kì 1 môn Toán lớp 10 năm học 2015 - 2016 trường THPT C Nghĩa Hưng, Nam Định
Đề kiểm tra học kì 1 môn Toán lớp 10
Đề kiểm tra học kì 1 môn Toán lớp 10 năm học 2015 - 2016 trường THPT C Nghĩa Hưng, Nam Định là đề thi học kì I lớp 10 môn Toán có đáp án đi kèm được VnDoc.com sưu tầm và giới thiệu tới quý thầy cô và các bạn học sinh. Đây là tài liệu ôn tập hữu ích dành cho các bạn học sinh lớp 10 luyện tập kiến thức học kì I lớp 10 môn Toán. Mời các bạn tham khảo.
Đề thi học kì 1 môn Toán lớp 10 Sở GD&ĐT Vĩnh Phúc năm học 2016 - 2017
Đề kiểm tra học kì 1 môn Toán lớp 10 năm học 2015 - 2016 trường THPT Nguyễn Trung Trực
Đề kiểm tra học kì 1 môn Hóa học lớp 10 năm học 2015 - 2016 trường THPT Thăng Long
|
TRƯỜNG THPT C NGHĨA HƯNG
|
ĐỀ KIỂM TRA CHẤT LƯỢNG HỌC KÌ I Năm học 2015 - 2016 Môn Toán lớp 10 Thời gian: 120 phút. (Không kể thời gian giao đề) |
Câu 1 (2 điểm). Cho hàm số y = x2 – 4x + 3 có đồ thị là (P)
- Tìm toạ độ giao điểm của đồ thị (P) với đường thẳng d1: y = x – 3
- Tìm m để đường thẳng d2: y = x + m cắt đồ thị (P) tại hai điểm phân biệt A, B sao cho

Câu 2 (2 điểm). Giải các phương trình:

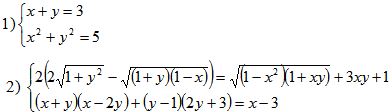
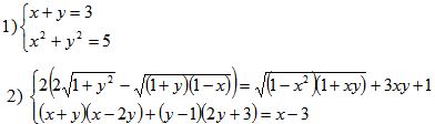
Câu 3 (2 điểm). Giải các hệ phương trình:

Câu 4 (2 điểm). Trong mặt phẳng Oxy, cho ABC có A(-1; 1); B(3;5); C(2;-3)
- Tìm toạ độ điểm D sao cho ABCD là hình bình hành.
- Tìm toạ độ trực tâm H của tam giác ABC.
Câu 5 (2 điểm) Cho hình chữ nhật ABCD, có cạnh bằng AD = 3a, AB = 2a. Lấy điểm M trên cạnh AD sao cho AM = 1/3AD.
a/ Tính các tích vô hướng
theo a?
b/ Gọi I là trung điểm của MC. Tính góc giữa hai véctơ
.
Đáp án đề kiểm tra học kì 1 môn Toán lớp 10
Câu 1 (2 điểm)

Câu 2 (2 điểm)

Câu 3 (2 điểm)

Câu 4 (2 điểm)

Câu 5 (2 điểm)
