Đề ôn tập giữa học kì 1 môn Toán lớp 5 - Đề 2
Đề ôn tập giữa học kì 1 môn Toán lớp 5
Đề ôn tập giữa học kì 1 môn Toán lớp 5 - Đề 2 được VnDoc sưu tầm, chọn lọc cho các em học sinh ôn tập, củng cố kiến thức, rèn luyện kỹ năng giải Toán chuẩn bị cho các bài thi kiểm tra giữa học kì 1 lớp 5. Mời các thầy cô cùng các em học sinh tham khảo.
Đề thi giữa học kì 1 môn Toán lớp 5 năm 2017 - 2018
Đề thi giữa học kì 1 môn Tiếng Việt lớp 5 theo Thông tư 22 năm 2017 - 2018
Đề bài ôn tập giữa học kì 1 môn Toán lớp 5
Bài 1. Viết số hoặc chữ số thích hợp vào chỗ chấm:
| Viết số | Đọc số |
|
a, ............ |
Hai và mười bảy phần mười chín |
| |
b, .......... |
|
c, ............ |
Mười một phẩy một trăm linh ba |
|
2,55 |
d, .......... |
Bài 2. Điền dấu: >; <; = ?
a)
\(2\frac{3}{10}......\ 2,3\)
b) 0,019…0,109
c) 8,315…8,305
d) 42,06…42,060
Bài 3. Khoanh tròn vào chữ đặt trước câu trả lời đúng:
a) Số “Mười phẩy hai trăm ba mươi lăm” viết là:
A. 10,5
B. 10,235
C. 10,2035
D. 102,05
b) Giá trị của chữ số 9 trong số 42,098 là:
A. 9
B. 90
C. 9/10
D. 9/100
c) 301,24 > 30 ▭,24
Chữ số thích hợp điền vào ô trống là:
A. 1
B. 0
C. 2
D. 9
Bài 4. Viết các chữ số đo sau dưới dạng số thập phân:
a) Có đơn vị mét
3m 8cm =
12dam 5dm =
b) Có đơn vị là ha
4ha 6dam2
2km2 5dam2
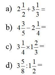
Bài 5. Tính:

Bài 6. Mua 9 quyển vở hết 22500 đồng. Lan mua 15 quyển vở như vậy, Hồng mua 12 quyển vở như vậy. Hỏi mỗi bạn mua hết bao nhiêu tiền?
Đáp án Đề kiểm tra giữa kì 1 môn Toán lớp 5
Bài 1:
| Viết số | Đọc số |
|
a, |
Hai và mười bảy phần mười chín |
| |
b, Bốn và bảy phần hai mươi ba |
|
c, 11,103 |
Mười một phẩy một trăm linh ba |
|
2,55 |
d, Hai phẩy năm mươi lăm |
Bài 2.
![]()
Bài 3.
a) B
b) D
c) B
Bài 4.
a) 3,08m; 120,5m
b) 4,06ha; 200,05ha.
Bài 5.

Bài 6.
Giá tiền một quyển vở là:
22500 : 9 = 2500 (đồng)
Lan mua 15 quyển vở hết số tiền là:
2500 : 15 = 37500(đồng)
Hồng mua 12 quyển vở hết số tiền là:
2500 x 12 =30000(đồng)
Đáp số: Lan: 37500 đồng
Hồng: 30000 đồng