Đề thi giữa học kì 1 môn Toán lớp 1 năm học 2020 - 2021 - Đề số 4
Đề kiểm tra giữa học kì 1 môn Toán lớp 1 - Đề số 4
Đề thi giữa học kì 1 lớp 1 môn Toán năm 2020 - Đề số 4 (Đề nâng cao) là tài liệu được VnDoc biên soạn giúp các em học sinh ôn luyện, củng cố kiến thức các dạng bài tập hay chuẩn bị cho bài thi giữa học kì 1 tốt nhất. Sau đây mời các em cùng tham khảo và tải về để ôn tập thi giữa kì lớp 1 đạt kết quả cao.
Để tiện trao đổi, chia sẻ kinh nghiệm về giảng dạy và học tập các môn học lớp 1, VnDoc mời các thầy cô giáo, các bậc phụ huynh và các bạn học sinh truy cập nhóm riêng dành cho lớp 1 sau: Nhóm Tài liệu học tập lớp 1. Rất mong nhận được sự ủng hộ của các thầy cô và các bạn.
Bản quyền thuộc về VnDoc.
Nghiêm cấm mọi hình thức sao chép nhằm mục đích thương mại.
Đề thi giữa học kì 1 môn Toán lớp 1 – Đề số 4 – Đề nâng cao
Bài 1 (2 điểm) Tính:
| 1 + 3 = …. | 3 + 2 = …. | 5 + 0 = …. |
| 0 + 4 = …. | 1 + 4 = …. | 2 + 1 = …. |
Bài 2 (2 điểm) Điền dấu <, >, = thích hợp vào chỗ chấm:
| 3 …. 5 | 2 … 1 | 4 …. 0 |
| 1 + 1 …. 2 | 1 + 2 …. 2 + 2 | 5 + 0 …. 0 + 5 |
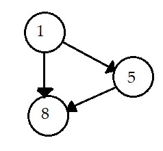
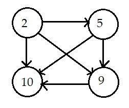
Bài 3 (2 điểm) Vẽ mũi tên từ số bé sang số lớn (theo mẫu)
Mẫu:

Bài toán:

Bài 4 (2 điểm) Điền số thích hợp vào chỗ chấm:

+ Trên hình vẽ có ….bạn nhỏ.
+ Cầu vồng có ….màu.
+ Trên hình vẽ có ….cây lớn.
+ Trên hình vẽ có ….chú bướm.
+ Trên hình vẽ có ….chú bọ cánh cứng.
+ Trên hình vẽ có ….chú chuồn chuồn.
Bài 5 (2 điểm) Điền số thích hợp vào chỗ chấm:
Hình vẽ dưới đây có ….hình tròn, có …hình tam giác.
Chiếc ô tô màu xanh có ….hình vuông.
Ngôi nhà màu vàng có …hình chữ nhật.

Đáp án đề thi giữa học kì 1 môn Toán lớp 1 – Đề số 4
Bài 1:
| 1 + 3 = 4 | 3 + 2 = 5 | 5 + 0 = 5 |
| 0 + 4 = 4 | 1 + 4 = 5 | 2 + 1 = 3 |
Bài 2:
| 3 < 5 | 2 > 1 | 4 > 0 |
| 1 + 1 = 2 | 1 + 2 < 2 + 2 | 5 + 0 = 0 + 5 |
Bài 3:

Bài 4:
+ Trên hình vẽ có 4 bạn nhỏ.
+ Cầu vồng có 7 màu.
+ Trên hình vẽ có 1 cây lớn.
+ Trên hình vẽ có 1 chú bướm.
+ Trên hình vẽ có 1 chú bọ cánh cứng.
+ Trên hình vẽ có 1 chú chuồn chuồn.
Bài 5:
Hình vẽ dưới đây có 10 hình tròn, có 7 hình tam giác.
Chiếc ô tô màu xanh có 2 hình vuông.
Ngôi nhà màu vàng có 1 hình chữ nhật.
---------------
Ngoài Đề ôn tập thi giữa học kì 1 môn Toán lớp 1 trên. Các bạn có thể tham khảo thêm nhiều đề thi hay và chất lượng, các dạng toán nâng cao hay và khó dành cho các bé học Toán lớp 1 được chắc chắn, củng cố và nắm chắc kiến thức nhất. Ngoài ra, các em có thể tham khảo thêm tài liệu môn Tiếng Việt 1 và Toán lớp 1 hay Tiếng Anh lớp 1,.... để học tốt hơn các chương trình của lớp 1.