Đề thi giữa học kì 2 môn Toán lớp 11 trường THPT Nguyễn Chí Thanh, TP Hồ Chí Minh năm học 2015 - 2016
Đề thi giữa học kì 2 môn Toán lớp 11
Đề thi giữa học kì 2 môn Toán lớp 11 trường THPT Nguyễn Chí Thanh, TP Hồ Chí Minh năm học 2015 - 2016 là đề kiểm tra học kì II lớp 11 có đáp án dành cho các bạn tham khảo, hệ thống kiến thức đã học, ôn luyện chuẩn bị cho kì thi giữa kì và cuối năm môn Toán sắp tới. Mời các bạn tham khảo.
Đề thi giữa học kì 2 môn Toán lớp 11 trường THPT Ngô Gia Tự, Bắc Ninh năm học 2015 - 2016
Đề thi giữa học kì 2 môn Toán lớp 11 trường THPT Hiệp Bình, Hồ Chí Minh năm 2014 - 2015
Đề thi học kì 2 môn Toán lớp 11 trường THPT Nguyễn Chí Thanh, TP. Hồ Chí Minh năm học 2015 - 2016
KIỂM TRA TẬP TRUNG
Môn: TOÁN – Khối 11 – Thời gian: 45 phút
ĐỀ 1
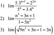
Bài 1: (4.5đ) Tính các giới hạn dãy số sau:

Bài 2: (1.5đ) Cho a, b là các số tự nhiên khác không. Biểu diễn số thập phân vô hạn tuần hoàn sau dưới dạng phân số: x = 2,ababab... (chu kỳ ab)
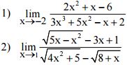
Bài 3: (4đ) Tính các giới hạn hàm số sau:

KIỂM TRA TẬP TRUNG
Môn: TOÁN – Khối 11 – Thời gian: 45 phút
ĐỀ 2
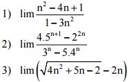
Bài 1: (4.5đ) Tính các giới hạn dãy số sau:

Bài 2: (1.5đ) Cho c, d là các số tự nhiên khác không. Biểu diễn số thập phân vô hạn tuần hoàn sau dưới dạng phân số: x = 3,cdcdcd... (chu kỳ cd)
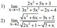
Bài 3: (4đ) Tính các giới hạn hàm số sau:

Đáp án đề thi giữa học kì 2 môn Toán lớp 11

