Đề thi giữa học kì 2 môn Toán lớp 11 trường THPT Triệu Sơn 2, Thanh Hóa năm học 2013 - 2014
Đề thi giữa học kì 2 môn Toán lớp 11
Đề thi giữa học kì 2 môn Toán lớp 11 trường THPT Triệu Sơn 2, Thanh Hóa năm học 2013 - 2014 có đáp án đi kèm giúp các bạn học sinh có thêm đề luyện tập nhằm củng cố và nâng cao kiến thức đã học, ôn thi học kì II lớp 11 môn Toán hiệu quả. Mời các bạn tham khảo.
Đề thi giữa học kì 2 môn Toán lớp 11 trường THPT Lý Thái Tổ, Bắc Ninh năm học 2015 - 2016
Đề thi giữa học kì 2 môn Toán lớp 11 trường THPT Hiệp Bình, Hồ Chí Minh năm 2014 - 2015
|
TRƯỜNG THPT TRIỆU SƠN 2 |
ĐỀ THI GIỮA HỌC KÌ 2 NĂM HỌC 2013-2014 Môn: TOÁN - Lớp 11 Thời gian làm bài: 90 phút. |
I. PHẦN CHUNG (9,0 điểm)
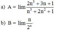
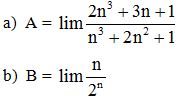
Bài 1. (2.0 điểm). Tìm các giới hạn của dãy số sau

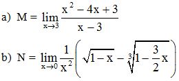
Bài 2. (2.0 điểm) Tìm các giới hạn của hàm số sau

Bài 3. (2,0 điểm). Tìm số hạng đầu và công sai của một cấp số cộng, biết các số hạng của nó thỏa mãn
.
Bài 4. (3,0 điểm). Cho tứ diện ABCD có AB, AC, AD đôi một vuông góc với nhau. Gọi H là hình chiếu của A trên đường thẳng CD.
a) Chứng minh AB ⊥ CD;
b) Gọi K là chân đường cao vẽ từ A của tam giác ABH. Chứng minh rằng AK ⊥ (BCD);
c) Giả sử HC = 3HD, KB = 4KH. Hãy biểu diễn vectơ
theo các vectơ
.
II. PHẦN RIÊNG (1,0 điểm). Học sinh được chọn một trong hai bài Bài 5A hoặc Bài 5B.
Bài 5A. (1,0 điểm). Cho ba số a, b, c thoả mãn hệ thức 2a + 3b + 6c = 0. Chứng minh rằng phương trình ax2 + bx + c = 0 có ít nhất một nghiệm thuộc khoảng (0; 1).
Bài 5B. (1,0 điểm). Chứng minh phương trình 8x3 - 6x - 1 = 0 có 3 nghiệm phân biệt. Tìm 3 nghiệm đó.
Đáp án đề thi giữa học kì 2 môn Toán lớp 11


