Đề thi học kì 1 lớp 12 môn Toán năm 2018 - 2019 Sở GD&ĐT Bình Dương
Đề kiểm tra học kì 1 Toán 12 năm 2018 - 2019
VnDoc xin giới thiệu tới bạn đọc Đề thi học kì 1 lớp 12 môn Toán năm 2018 - 2019 Sở GD&ĐT Bình Dương. Nội dung tài liệu sẽ là nguồn thông tin hữu ích để giúp các bạn học sinh giải Toán 12 nhanh và chính xác hơn. Mời các bạn tham khảo.
- Bộ đề thi học kì 1 lớp 12 môn Toán năm 2018 - 2019
- Bộ đề thi học kì 1 lớp 12 môn Ngữ văn năm 2018 - 2019
- Bộ đề thi học kì 1 lớp 12 môn Toán năm 2018 - 2019 (Số 1)
- Bộ đề thi học kì 1 lớp 12 môn Ngữ văn năm 2017 - 2018
---------------------------
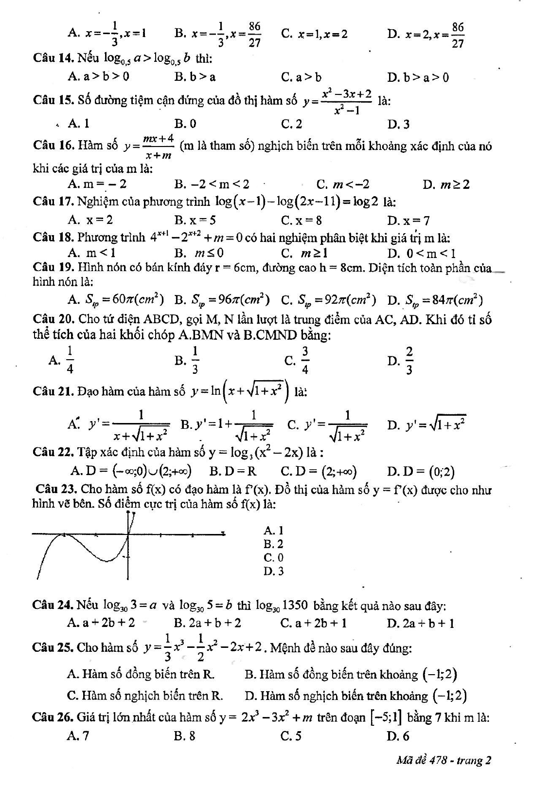
Trên đây VnDoc đã giới thiệu tới các bạn Đề thi học kì 1 lớp 12 môn Toán năm 2018 - 2019 Sở GD&ĐT Bình Dương. Để có kết quả cao hơn trong học tập, VnDoc xin giới thiệu tới các bạn học sinh tài liệu Giải bài tập Toán lớp 12, Giải bài tập Hóa học lớp 12, Giải bài tập Vật Lí 12, Tài liệu học tập lớp 12 mà VnDoc tổng hợp và đăng tải.


