Đề thi học kì 1 môn Toán lớp 8 trường THCS Lương Phú, Thái Nguyên năm 2015 - 2016
Đề thi học kì 1 môn Toán lớp 8 năm 2015 - 2016
Đề thi học kì 1 môn Toán lớp 8 trường THCS, Thái Nguyên năm 2015 - 2016 gồm 5 câu hỏi có đáp án đi kèm. VnDoc.com hy vọng các bạn học sinh có thể luyện tập và củng cố kiến thức môn Toán hiệu quả. Mời các bạn tham khảo.
Đề thi học kì 1 môn Toán lớp 8 trường THCS Kỳ Thượng, Quảng Ninh năm học 2016 - 2017
Đề thi học kì 1 môn Toán lớp 8 năm học 2016 - 2017
Đề thi học kì 1 môn Toán lớp 8 Phòng GD&ĐT Đại Từ, Thái Nguyên năm học 2016 - 2017
Đề thi học kì 1 môn Toán lớp 8 trường THCS Chiềng Ken, Lào Cai năm học 2016 - 2017
PHÒNG GD & ĐT PHÚ BÌNH
TRƯỜNG THCS LƯƠNG PHÚ
ĐỀ KIỂM TRA HỌC KÌ I MÔN TOÁN 8
NĂM HỌC 2015 - 2016
Thời gian: 90 phút (không kể thời gian phát đề)
ĐỀ BÀI:
Câu 1 (1,5 điểm): Phân tích các đa thức sau thành nhân tử:
a) x2 + 4x
b) x3 – 2x2 + 5x – 10
Câu 2 (2,5 điểm): Thực hiện phép tính:
a) (x + 1)(x + 2)
b) (x3 + x2 – 3x + 9) : (x + 3)
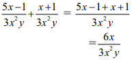
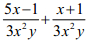
c) ![]()
d) (6x5y2 - 9x4y3 + 15x3y4) : 3x3y2
Câu 3 (1,5 điểm): Cho biểu thức: 
(Với x 1)
a) Rút gọn biểu thức A
b) Tìm giá trị x để A = 1/2
Câu 4 (3,5 điểm): Cho hình thoi ABCD có AC = 10cm, BD = 8cm. Gọi M, N, P, Q lần lượt là trung điểm của cạnh AB, BC, CD, DA.
a) Chứng minh rằng tứ giác MNPQ là hình bình hành.
b) Chứng minh rằng tứ giác MNPQ là hình chữ nhật.
c) Tính diện tích tứ giác MNPQ.
Bài 5 (1,0 điểm): Tìm giá trị nhỏ nhất của biểu thức A:
A = x2 - 4x + 1
Đáp án đề thi học kì 1 môn Toán lớp 8
Câu 1 (1,5 điểm)
a) x2 + 4x = x(x + 4)
b) x3 – 2x2 + 5x – 10 = x2 (x + 2) + 5(x + 2)
= (x2 + 5) (x + 2)
Câu 2 (2,5 điểm)
a) (x + 1)(x + 2) = x2 + 2x + x + 2
= x2 + 3x + 2
b) (x3 + x2 – 3x + 9) : (x + 3) = x2 – 2x + 3
c) 
d) (6x5y2 - 9x4y3 + 15x3y4) : 3x3y2
= 6x5y2 : 3x3y2 - 9x4y3 : 3x3y2 + 15x3y4 : 3x3y2
= 2x2 – 3xy + 5y2
Câu 3 (1,5 điểm)

Câu 4 (3,5 điểm)
- Vẽ hình đúng
- Ghi giả thuyết kết luận đúng

Câu 5 (1,0 điểm)
A = x2 - 4x + 1
= x2 – 4x + 4 – 3
= (x - 2)2 - 3 ≥ -3
GTNN của A là -3