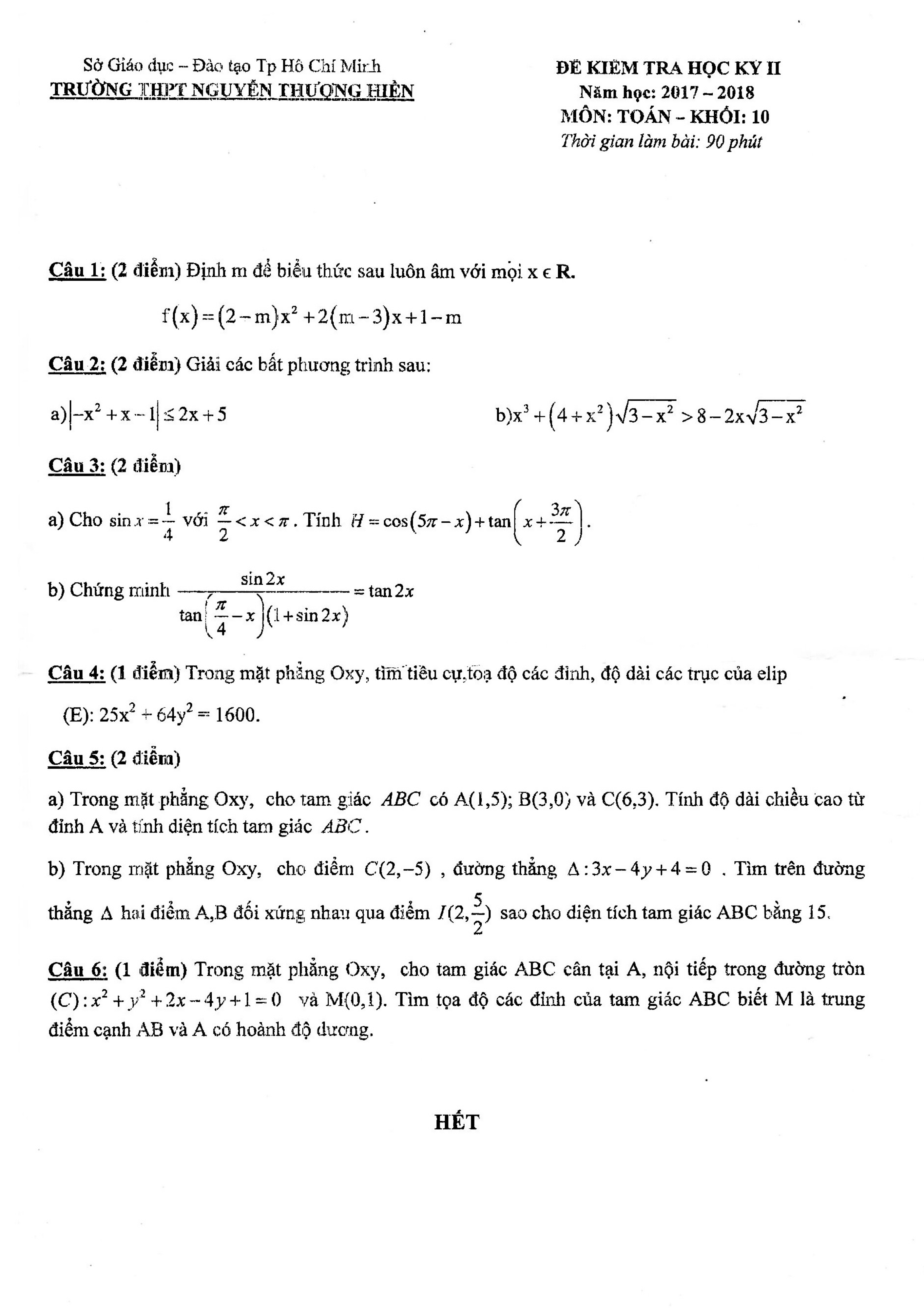
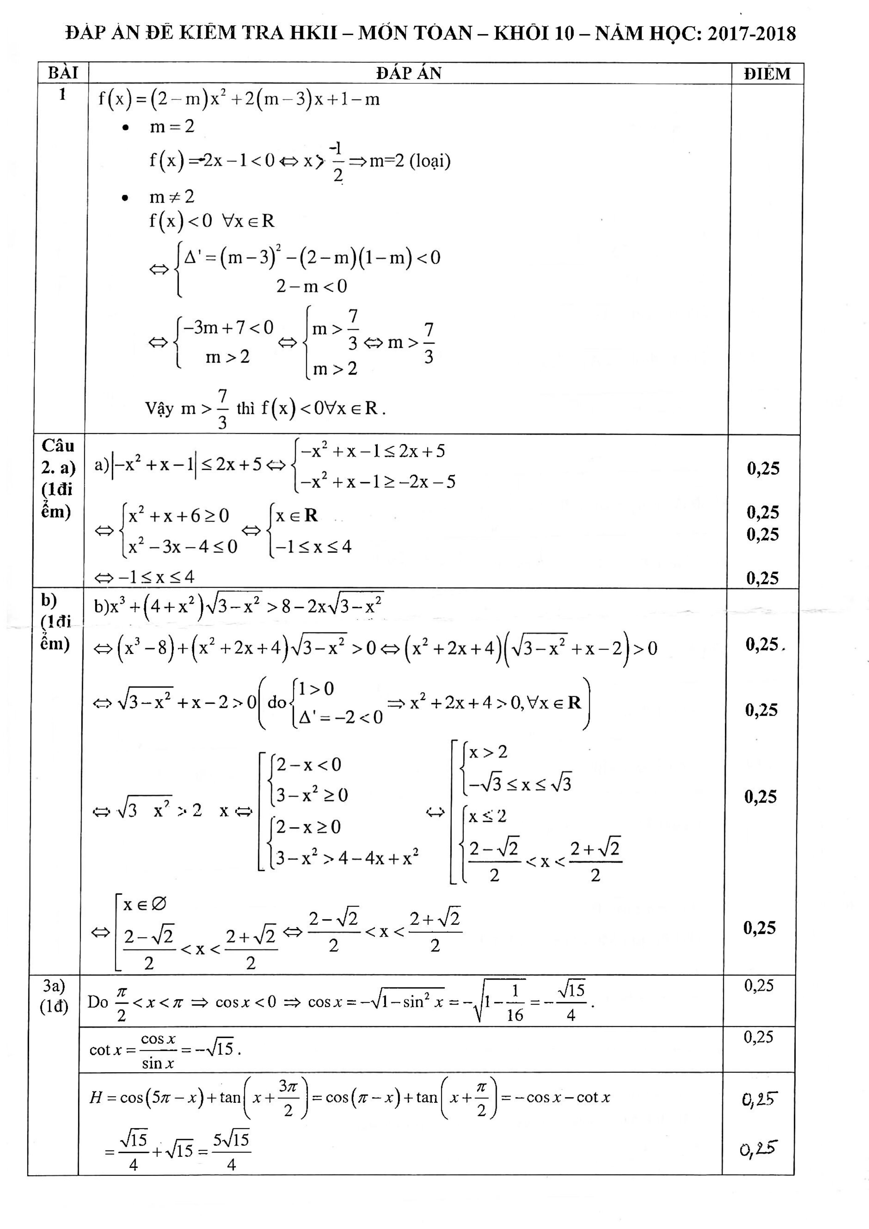
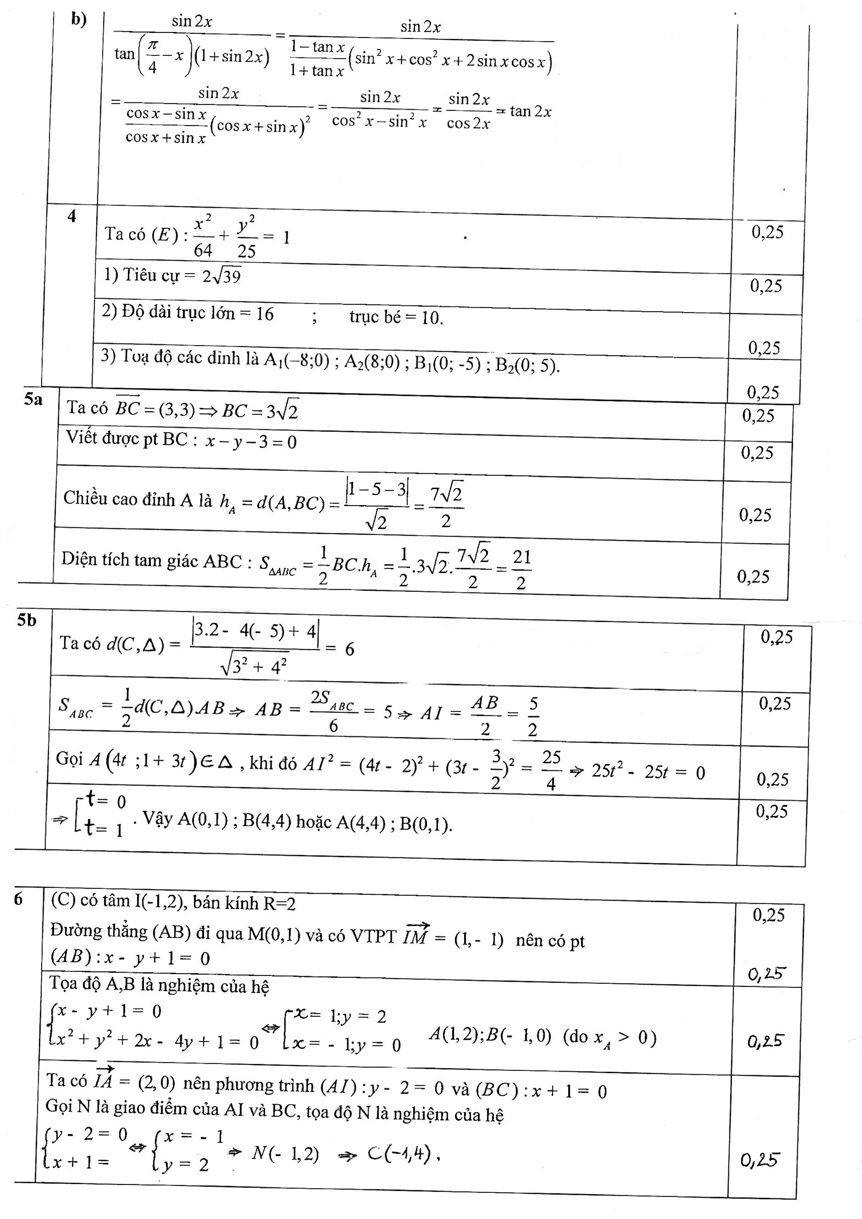
Đề thi học kì 2 môn Toán lớp 10 năm học 2017 - 2018 trường THPT Nguyễn Thượng Hiền - TP. HCM



Đề thi học kì 2 môn Toán lớp 10
VnDoc xin giới thiệu tới bạn đọc Đề thi học kì 2 môn Toán lớp 10 năm học 2017 - 2018 trường THPT Nguyễn Thượng Hiền - TP. HCM, nội dung tài liệu gồm 6 bài tập, có lời giải chi tiết, thời gian làm bài 90 phút. Mời các bạn học sinh và thầy cô cùng tham khảo.
Đề thi học kì 2 môn Toán lớp 10 năm học 2017 - 2018 trường THPT Vân Tảo - Hà Nội
Đề khảo sát chất lượng giữa học kỳ 2 môn Toán lớp 10 năm 2017 - 2018 trường B Bình Lục - Hà Nam
Đề thi khảo sát chất lượng môn Toán lớp 10 trường THPT Minh Châu, Hưng Yên năm 2015 - 2016 (Lần 2)
Đề kiểm tra học kì 2 môn Toán lớp 10 Trường THPT chuyên Hà Nội Amsterdam
Đề cương ôn tập học kì 2 môn Toán lớp 10 năm 2017 - 2018 trường PTLC Vinschool - Hà Nội
------------------------------
Trên đây VnDoc.com đã giới thiệu tới bạn đọc tài liệu: Đề thi học kì 2 môn Toán lớp 10 năm học 2017 - 2018 trường THPT Nguyễn Thượng Hiền - TP. HCM. Để có kết quả cao hơn trong học tập, VnDoc xin giới thiệu tới các bạn học sinh tài liệu Thi thpt Quốc gia môn Văn, Thi thpt Quốc gia môn Lịch sử, Thi thpt Quốc gia môn Địa lý mà VnDoc tổng hợp và đăng tải.