Đề thi học sinh giỏi lớp 12 THPT tỉnh Ninh Thuận năm 2013 - 2014
Đề thi học sinh giỏi lớp 12 THPT
Vndoc.com xin giới thiệu đến các bạn: Đề thi học sinh giỏi lớp 12 THPT tỉnh Ninh Thuận năm 2013 - 2014. Tài liệu bao gồm đề thi và đáp án 8 môn: Toán, Văn, Tiếng Anh, Hóa học, Vật lý, Sinh học, Lịch sử, Địa lý, Tin học. Hi vọng tài liệu này sẽ giúp thầy cô và các bạn ôn thi học sinh giỏi lớp 12 đạt hiệu quả nhất.
Đề thi học sinh giỏi lớp 12 THPT tỉnh Hải Dương năm 2013 - 2014
Đề thi học sinh giỏi lớp 12 THPT tỉnh Vĩnh Long năm 2013 - 2014
Đề thi học sinh giỏi môn Toán lớp 12
| SỞ GIÁO DỤC VÀ ĐÀO TẠO NINH THUẬN
ĐỀ CHÍNH THỨC |
ĐỀ THI CHỌN HỌC SINH GIỎI CẤP TỈNH Năm học 2013 – 2014 ĐỀ THI MÔN: TOÁN LỚP 12 - THPT Ngày thi: 10/11/2013 |
Bài 1.
Cho tập S = {x thuộc R / x3 - x2 - 3x + 3 ≥ 0}. Tìm giá trị lớn nhất của hàm số f(x) = - x4 + 3x2 + 2 trên tập S
Bài 2.
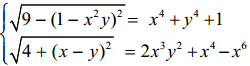
Giải hệ phương trình: 
Bài 3.
Chứng minh rằng nếu ![]()
Bài 4.
Cho tam giác ABC có các cạnh là AB = c, BC = a, CA = b. Gọi AD = la, BE = lb, CF = lc lần lượt là độ dài đường phân giác trong của góc A, góc B và góc C của tam giác ABC.
a) Chứng minh rằng: la2 = bc – DB.DC
b) Chứng minh rằng nếu b > c thì lb < lc.
Bài 5.
Tìm đa thức P( x) với hệ số thực, thỏa mãn các điều kiện:
i) P(1) = 2014;
ii) (x+ 1)(x + 2)P(x) = x2P(x+ 1), với mọi x thuộc R.
Bài 6.
Trong mặt phẳng cho n đường thẳng (n ≥ 1), trong đó không có 2 đường thẳng nào song song với nhau và không có 3 đường thẳng nào đồng quy.
a) Tính số miền của mặt phẳng được tạo thành từ n đường thẳng đã cho.
b) Chứng minh rằng ta có thể tô các miền trên bằng một trong hai màu khác nhau sao cho hai miền có cạnh chung thì khác màu.
Đề thi học sinh giỏi lớp 12 THPT tỉnh Ninh Thuận năm 2013 - 2014 môn Toán
Đề thi học sinh giỏi lớp 12 THPT tỉnh Ninh Thuận năm 2013 - 2014 môn Văn
Đề thi học sinh giỏi lớp 12 THPT tỉnh Ninh Thuận năm 2013 - 2014 môn Sinh
Đề thi học sinh giỏi lớp 12 THPT tỉnh Ninh Thuận năm 2013 - 2014 môn Hóa
Đề thi học sinh giỏi môn Ngữ văn lớp 12
| SỞ GIÁO DỤC VÀ ĐÀO TẠO NINH THUẬN
ĐỀ CHÍNH THỨC |
ĐỀ THI CHỌN HỌC SINH GIỎI CẤP TỈNH Năm học 2013 – 2014 ĐỀ THI MÔN: NGỮ VĂN LỚP 12 - THPT Ngày thi: 10/11/2013 |
Câu 1:
Đọc câu chuyện sau đây và thực hiện yêu cầu được nêu bên dưới:
Người đi săn và con vượn
Ngày xưa, có một người săn bắn rất tài. Nếu con thú rừng nào không may gặp bác ta thì hôm đó coi như ngày tận số. Một hôm, người đi săn xách nỏ vào rừng. Bác thấy một con vượn lông xám đang ngồi ôm con trên tảng đá. Bác nhẹ nhàng rút mũi tên bắn trúng vượn mẹ. Vượn mẹ giật mình, hết nhìn mũi tên lại nhìn về phía người đi săn bằng đôi mắt căm giận, tay không rời con. Máu ở vết thương rỉ ra loang khắp ngực.
Người đi săn đứng im chờ kết quả....
Bỗng vượn mẹ nhẹ nhàng đặt con nằm xuống, vơ vội nắm bùi nhùi gối lên đầu con, rồi nó hái cái lá to, vắt sữa vào và đặt lên miệng con. Sau đó, vượn mẹ nghiến răng, giật phắt mũi tên ra, hét lên một tiếng thật to rồi ngã xuống. Người đi săn đứng ặng. Hai giọt nước mắt từ từ lăn trên má. Bác cắn môi, bẻ gãy nỏ và lẳng lặng quay gót ra về. Từ đấy, bác không bao giờ đi săn nữa.
Theo Lép-Tôn-xtôi (Bộ Giáo dục và Đào tạo (2012), Tiếng Việt 3, tập 2, trang 113-114, Nxb Giáo dục)
Viết bài văn xuôi không quá 3 trang giấy thi với tựa đề tự đặt để trình bày suy nghĩ của anh (chị) về những bài học đạo lí được rút ra từ câu chuyện.
Câu 2:
“Cái tài của nhà thơ không phải là khả năng đánh bóng chữ nghĩa cho trơn tru, bay bướm, mà phụ thuộc vào cảm xúc trí tuệ của tác giả, bởi cái gốc của thơ vẫn là cái tình, lẫn cái tư duy trí tuệ về con người và thời cuộc. Vui thật, buồn thật, đau thật,…là những điều mà người tinh ý thường dễ cảm nhận khi được thưởng thức thơ. Nhưng ngần ấy thì chưa đủ. Nhà thơ còn phải làm cho người đọc ngạc nhiên về những điều mình suy nghĩ, như phát hiện ra một thi ảnh mới, một nhạc điệu mới, một tư tưởng mới hay một chân lí mới bằng thứ ngôn ngữ đắc dụng của nó”.
(Nguyễn Trọng Tạo (2013), Báo Văn nghệ, số37, trang 18)
Suy nghĩ của anh (chị) về ý kiến trên.
Đề thi học sinh giỏi lớp 12 THPT tỉnh Ninh Thuận năm 2013 - 2014 môn Tiếng Anh
Đề thi học sinh giỏi lớp 12 THPT tỉnh Ninh Thuận năm 2013 - 2014 môn Vật lý
Đề thi học sinh giỏi lớp 12 THPT tỉnh Ninh Thuận năm 2013 - 2014 môn Lịch sử
Đề thi học sinh giỏi lớp 12 THPT tỉnh Ninh Thuận năm 2013 - 2014 môn Địa lý
Đề thi học sinh giỏi lớp 12 THPT tỉnh Ninh Thuận năm 2013 - 2014 môn Tin học
Đề thi học sinh giỏi môn Tiếng Anh lớp 12
|
SỞ GIÁO DỤC VÀ ĐÀO TẠO |
KỲ THI CHỌN HỌC SINH GIỎI CẤP TỈNH NĂM HỌC 2013 – 2014 Khóa ngày: 10 / 11 / 2013 Môn thi: TIẾNG ANH - Cấp THPT Thời gian làm bài: 180 phút (Không kể thời gian phát đề) |
SECTION I: LISTENING
HƯỚNG DẪN PHẦN THI NGHE HIỂU
- Bài nghe gồm 3 phần, mỗi phần được nghe 2 lần, mỗi lần cách nhau 15 giây, mở đầu và kết thúc mỗi phần nghe có tín hiệu.
- Mở đầu và kết thúc bài nghe có tín hiệu nhạc. Thí sinh có 2 phút để hoàn chỉnh bài trước tín hiệu nhạc kết thúc bài nghe.
- Mọi hướng dẫn cho thí sinh (bằng tiếng Anh) đã có trong bài nghe.
Part 1: You will hear people talking in eight different situations. For questions 1-8, choose the best answer (A, B or C) and write your answers in the corresponding numbered boxes.
1. You overhear two people talking about a disagreement. What feeling does the woman express?
A. willingness to discuss the matter again
B. regret at what she said
C. annoyance at what happened
2. You hear a football supporter talking about a player. What is his opinion of the player?
A. He's getting better.
B. He's not as good as he was.
C. He's never been very good.
3. You overhear a college administrator talking on the phone about a lesson. What does she tell the caller?
A. The cost of one lesson will be refunded.
B. The lesson will happen at a later date.
C. A different teacher will take the lesson.
4. You hear a man talking about a company. Who is the speaker?
A. a manager at the company
B. a business journalist
C. a worker at the company
5. You hear a man and a woman discussing a social arrangement. What is the woman's purpose?
A. to find out information
B. to change the arrangement
C. to avoid going
6. You hear someone on the radio talking about recycling. What is the speaker's main topic?
A. problems associated with recycling
B. why recycling is necessary
C. the amount of recycling that is happening
7. You overhear two people talking in an airport waiting area. What is the situation?
A. They're going on a business trip.
B. They're going to live in another country.
C. They're going on holiday.
8. You hear a man talking about a phone call. What does he say about the call?
A. It took longer than it should have taken.
B. He was told something surprising during it.
C. He had not expected the call.