Đề thi học sinh giỏi tỉnh Nghệ An năm 2011 - 2012 môn Toán lớp 12 Bảng B
Nhằm giúp các bạn chuẩn bị thật tốt kiến thức để làm bài thi đạt hiệu quả cao, Vndoc.com xin giới thiệu: Đề thi học sinh giỏi tỉnh Nghệ An năm 2011 - 2012 môn Toán lớp 12 Bảng B.
Đề thi học sinh giỏi môn Toán:
SỞ GIÁO DỤC VÀ ĐÀO TẠO
|
KỲ THI CHỌN HỌC SINH GIỎI CẤP TỈNH LỚP 12
|
Câu I (6,0 điểm).
1. Giải phương trình:![]()
2. Giải bất phương trình:![]()
Câu II (3,0 điểm).
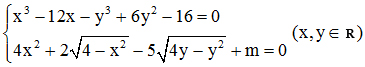
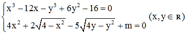
Tìm tất cả các giá trị của tham số m để hệ phương trình sau có nghiệm:
Câu III (5,5 điểm).
Cho hình chóp S.ABCD có đáy ABCD là hình thoi cạnh 2a; SA = SB = SC = 2a. Gọi M là trung điểm của cạnh SA; N là giao điểm của đường thẳng SD và mặt phẳng (MBC). Gọi V, V1 lần lượt là thể tích của các khối chóp S.ABCD và S.BCNM.
a) Tính tỷ số
.
b) Chứng minh V ≤ 2a3.
Câu IV (3,0 điểm).
Trong mặt phẳng tọa độ Oxy, cho tam giác ABC có A(2; -1). Đường phân giác trong của các góc B và C lần lượt có phương trình x - 2y + 1 = 0; x + y + 3 = 0. Viết phương trình đường thẳng BC.
Câu V (2,5 điểm).
Cho x, y, z là các số thực dương thỏa mãn xyz = 1. Tìm giá trị lớn nhất của biểu thức: