Đề thi khảo sát chất lượng đầu năm môn Toán lớp 11 trường THPT Quốc Oai, Hà Nội năm học 2016 - 2017
Đề thi khảo sát chất lượng đầu năm môn Toán lớp 11
Đề thi khảo sát chất lượng đầu năm môn Toán lớp 11 trường THPT Quốc Oai, Hà Nội năm học 2016 - 2017 là đề kiểm tra đầu năm lớp 11 mới nhất được VnDoc.com sưu tầm và đăng tải. Hi vọng tài liệu này giúp các em học sinh ôn tập và củng cố kiến thức sau dịp nghỉ hè lớp 10, chuẩn bị tốt nhất cho năm học mới. Mời các bạn tham khảo.
|
SỞ GD ĐT HÀ NỘI TRƯỜNG THPT QUỐC OAI
|
ĐỀ KIỂM TRA KHẢO SÁT CHẤT LƯỢNG ĐẦU NĂM HỌC 2016-2017 MÔN TOÁN –LỚP 11 Thời gian: 90 phút |
Câu 1 (2 điểm). Giải bất phương trình sau ![]()
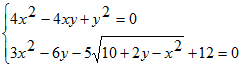
Câu 2 (2 điểm). Giải hệ phương trình sau 
Câu 3 (2 điểm).
a. Cho tanx = 2. Tính giá trị biểu thức 
b. Cho ΔABC. Chứng minh ![]()
Câu 4 (3 điểm).
Trong mặt phẳng toạ độ oxy, cho hình chữ nhật ABCD. Các đường thẳng AB, BD lần lượt có phương trình x - y + 4 = 0 và x + 3y = 0. Điểm M(-1/3; 1) thuộc đường thẳng AC.
a. Tìm toạ độ điểm B.
b. Viết phương trình đường thẳng qua M và song song với AB.
c. Viết phương trình đường tròn ngoại tiếp hình chữ nhật ABCD.
Câu 5 (1 điểm). Cho 3 số thực x, y, z có tổng bằng 1.
Chứng ming rằng: (3x + 4y + 5z)2 ≥ 44(xy + yz + zx)
Đáp án đề thi khảo sát chất lượng đầu năm môn Toán lớp 11

