Đề thi khảo sát lần 1 khối 11 THPT Yên Lạc tỉnh Vĩnh Phúc năm 2013 - 2014
Đề thi khảo sát chất lượng lớp 11
Đề thi khảo sát lần 1 khối 11 THPT Yên Lạc tỉnh Vĩnh Phúc năm 2013 - 2014 là tài liệu tham khảo hay dành cho thầy cô và các bạn, bao gồm đáp án và đề thi học kì 1 của 8 môn: Toán, Vật lý, Hóa, Văn, Tiếng Anh, Địa lý, Lịch sử. Hi vọng tài liệu này sẽ giúp các bạn ôn tập và củng cố kiến thức, ôn thi học kì I hiệu quả.
Đề kiểm tra học kì 1 môn Toán lớp 11 năm học 2014 - 2015 trường THPT Châu Thành 1, Đồng Tháp
Đề kiểm tra học kì 1 môn Vật lý lớp 11 năm học 2014 - 2015 trường THPT Châu Thành 1, Đồng Tháp
Đề thi học kì 1 môn Ngữ Văn lớp 11 trường THPT Chuyên Lê Hồng Phong năm 2013 - 2014
| SỞ GIÁO DỤC VÀ ĐÀO TẠO VĨNH PHÚC TRƯỜNG THPT YÊN LẠC ĐỀ CHÍNH THỨC |
ĐỀ THI KHẢO SÁT LẦN I - KHỐI 11 Năm học: 2013-2014 |
ĐỀ THI MÔN: TOÁN
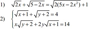
Câu 1. (2 điểm)
Giải phương trình và hệ phương trình sau:
Câu 2. (3 điểm)
Giải các phương trình sau:
1) sinx + sin2x + sin3x = 0
Câu 3. (1 điểm)
Cho phương trình: (cosx + 1)(cos2x + cosx - mcosx) = m/2(1 - cos2x)
Tìm m để phương trình có nghiệm thuộc khoảng (-π/2; π/2)
Câu 4. (1 điểm)
Cho hình chóp S.ABCD có đáy ABCD là hình bình hành. Trên cạnh BC và SC lần lượt lấy hai điểm E và F (E và F không trùng với các đầu mút)
1. Tìm giao điểm của SD và mặt phẳng (AEF)
2. Tìm giao tuyến của mặt phẳng (AEF) với mặt phẳng (SBD).
Câu 5. (1 điểm)
Trong mặt phẳng Oxy cho tam giác ABC và điểm D(-2; -1), biết phân giác góc B và đường cao xuất phát từ C lần lượt có phương trình (d1): 2x + y = 0 và (d2): x + y + 1 = 0 đồng thời (d1) là đường phân giác góc ABD . Tìm tọa độ A, B, C.
Câu 6. (1 điểm)
Có bao nhiêu số tự nhiên có 7 chữ số có dạng
sao cho a1 + a2 + a3 + a4 = 4. Ba chữ số a5, a6, a7 đôi một khác nhau và có tổng bằng 8.
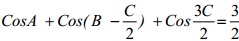
Câu 7. (1 điểm)
Tìm các góc của tam giác ABC biết:![]()
ĐỀ THI MÔN: NGỮ VĂN
Câu I (2,0 điểm)
Phân tích ngắn gọn ý nghĩa các nhan đề “Cái lò gạch cũ”, “Chí Phèo” của Nam Cao, và nhan đề “Đôi lứa xứng đôi” do nhà xuất bản đặt.
Câu II (3,0 điểm)
Khổng Tử nói: “Nhân chi sơ, tính bản thiện”
Tuân Tử nói: “Nhân chi sơ, tính bản ác”
Chủ Tịch Hồ Chí Minh lại nói:
“Hiền dữ phải đâu là tính sẵn
Phần nhiều do giáo dục mà nên”
Dựa vào 3 quan điểm trên, hãy viết một bài văn ngắn (400 từ) bàn về vai trò của giáo dục đối với sự hình thành và hoàn thiện nhân cách của con người.
Câu III (5,0 điểm)
Phân tích đoạn văn tả cảnh Huấn Cao cho chữ viên quản ngục ở cuối tác phẩm “Chữ người tử tù” của Nguyễn Tuân.
ĐỀ THI MÔN: LỊCH SỬ
Câu 1 (1 điểm):
Tổ chức Nato và Vacxava được hình thành gây hậu quả như thế nào đối với quan hệ quốc tế ?
Câu 2 (3 điểm):
Khái quát các giai đoạn phát triển của phong trào giải phóng dân tộc ở Châu Phi từ sau chiến tranh thế giới thứ II đến năm 1975? nêu đặc điểm của quá trình giành độc lập châu Phi?
Câu 3 (3 điểm):
Trình bày sự ra đời của nước cộng hoà Ấn Độ? Thành tựu bước đầu của Ấn Độ trong xây dựng đất nước?
Câu 4 (3 điểm):
Xu thế toàn cầu hoá được biểu hiện trên những lĩnh vực nào? vì sao nói: toàn cầu hoá vừa là thời cơ vừa là thách thức đối với các nước đang phát triển?
ĐỀ THI MÔN: ĐỊA LÝ
Câu 1 (2,5 điểm)
a.Toàn cầu hóa là gì? Biểu hiện của toàn cầu hóa? Cơ hội và thách thức của toàn cầu hóa đối với Việt Nam?
b. Vì sao nói giai đoạn Tiền Cambri là giai đoạn hình thành nên nền móng ban đầu của lãnh thổ Việt Nam?
Câu 2: (2,5 điểm)
a. Chứng minh khí hậu nước ta có sự phân hóa đa dạng? Những nguyên nhân nào làm khí hậu nước ta phân hóa đa dạng?
b. Giải thích sự hình thành đất Feralit và đất mùn trên núi?
Câu 3: (2 điểm)
a. Đặc điểm của dải đồng bằng ven biển miền trung? Ý nghĩa của khu vực đồng bằng đối với sự phát triển kinh tế - xã hội ở nước ta?
b. Tại sao ở nước ta rừng là một tài nguyên rất quý giá, nhưng đang bị suy thoái nghiêm trọng? Nêu các biện pháp để bảo vệ rừng ở nước ta?
Câu 4 (3 điểm)
Cho bảng số liệu
Tình hình đầu tư trực tiếp của nước ngoài vào Việt Nam trong giai đoạn 1991-2006
|
Năm |
Số dự án |
Vốn đăng kí (Triệu USD) |
Vốn thực hiện (Triệu USD) |
|
1991 |
152 |
1292 |
329 |
|
1995 |
415 |
6937 |
2556 |
|
1996 |
372 |
10164 |
2714 |
|
1997 |
349 |
5591 |
3115 |
|
2000 |
391 |
2839 |
2414 |
|
2006 |
987 |
12004 |
4100 |
a. Vẽ biểu đồ thích hợp nhất thể hiện tình hình đầu tư trực tiếp của nước ngoài vào nước ta giai đoạn trên?
b. Nhận xét và giải thích tình hình đầu tư trực tiếp nước ngoài vào nước ta giai đoạn trên?