Đề thi thử HSG môn Toán lớp 12 năm học 2017 - 2018, trường THPT Bình Xuyên, Vĩnh Phúc
VnDoc xin giới thiệu tới các bạn học sinh tài liệu: Đề thi thử HSG môn Toán lớp 12 năm học 2017 - 2018, trường THPT Bình Xuyên, Vĩnh Phúc, tài liệu gồm 6 bài toán tự luận, thời gian làm bài 180 phút kèm theo lời giải chi tiết sẽ giúp các bạn học sinh có kết quả cao hơn trong học tập. Mời thầy cô và các bạn tham khảo.
Đề thi thử HSG môn Toán lớp 12
Chi tiết đề thi thử HSG môn Toán lớp 12
Câu 1: (2,5 điểm)
a. Tìm tất cả giá trị thực của m để phương trình sau đây có đúng hai nghiệm thực phân biệt (m + 2) (
\(\sqrt{2+x}-2\)) + 3x + 4
\(\sqrt{4-x^2}\) = m + 2 (x ∈ R).
b. Cho hàm số y = x-2/x-1. Có đồ thị (C).
Hãy lập phương trình đường thẳng (d) đi qua điểm M (3; -1) và cắt đồ thị (C) tại hai điểm phân biệt A, B sao cho MB = 3MA
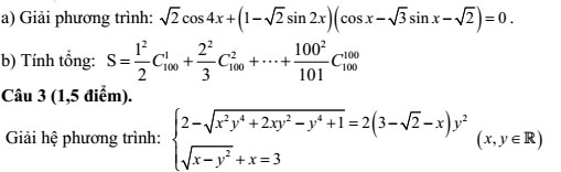
Câu 2 (2,0 điểm)

Câu 4 (1,5 điểm)
Trong mặt phẳng với hệ trục tọa độ vuông góc Oxy, cho đường tròn (C) và đường thẳng (d) lần lượt có phương trình (x - 2)2 + (y +1)2 = 8 và x - 2 y + 3 = 0. Cho hình thoi ABCD ngoại tiếp đường tròn (C) và điểm A thuộc đường thẳng (d). Hãy tìm tọa độ các đỉnh A, B,C, D ; biết rằng BD = 2 AC và tung độ của điểm A không nhỏ hơn 2.
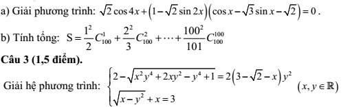
Câu 5 (1,5 điểm)
Cho hình chóp S.ABCD có đáy ABCD là hình vuông và tam giác SAB là tam giác cân tại đỉnh S. Góc giữa đường thẳng SA và mặt phẳng đáy bằng 450, góc giữa mặt phẳng (SAB) và mặt phẳng đáy bằng 600. Tính thể tích khối chóp S.ABCD, biết rằng khoảng cách giữa hai đường thẳng CD và SA bằng a.
Câu 6 (1,0 điểm)
Cho x, y, z là các số thực không âm thoả mãn điều kiện x2 + y2 + z2 = 1. Tìm giá trị lớn nhất của biểu thức: P = 6(y + z - x) + 27xyz.
Đề thi học sinh giỏi lớp 12 môn Toán năm học 2017 - 2018 tỉnh Hải Dương
Đề thi chọn đội tuyển HSG cấp tỉnh môn Toán lớp 12 năm học 2017 - 2018, Sở GD&ĐT Hòa Bình
Đề thi chọn đội tuyển HSG cấp tỉnh môn Toán lớp 12 năm học 2017 - 2018, Sở GD&ĐT Thái Bình
Đề thi chọn đội tuyển HSG cấp tỉnh môn Toán lớp 12 năm học 2017 - 2018, Sở GD&ĐT Bình Phước
---------------------------------------------
Trên đây VnDoc.com đã giới thiệu tới bạn đọc tài liệu: Đề thi thử HSG môn Toán lớp 12 năm học 2017 - 2018, trường THPT Bình Xuyên, Vĩnh Phúc. Để có kết quả cao hơn trong học tập, VnDoc xin giới thiệu tới các bạn học sinh tài liệu Thi thpt Quốc gia môn Toán, Thi thpt Quốc gia môn Sinh học, Thi thpt Quốc gia môn Văn, đề thi học kì 2 lớp 12, Thi thpt Quốc gia môn Lịch sử mà VnDoc tổng hợp và đăng tải.