Đề thi thử THPT Quốc gia môn Toán năm 2019 Sở GD&ĐT Vĩnh Phúc lần 2
Đề thi thử môn Toán 2019
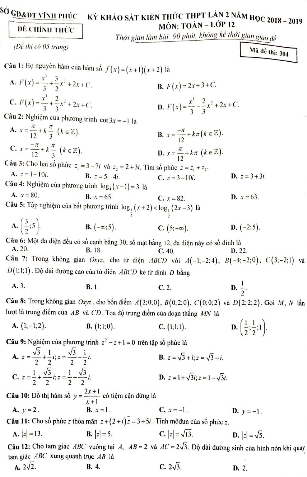
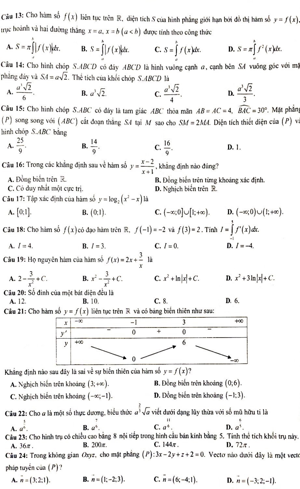
VnDoc xin giới thiệu tới bạn đọc Đề thi trắc nghiệm Toán 12, Đề thi thử THPT Quốc gia môn Toán năm 2019 Sở GD&ĐT Vĩnh Phúc lần 2. Nội dung tài liệu gồm 50 câu hỏi trắc nghiệm, thời gian làm bài 90 phút sẽ giúp các bạn giải Toán 12 hiệu quả hơn. Mời các bạn học sinh và thầy cô cùng tham khảo.
- Đáp án đề thi thử THPT Quốc gia môn Toán năm 2019 trường THPT Thanh Chương 1 - Nghệ An lần 3
- Đáp án đề thi thử THPT Quốc gia môn Toán năm 2019 trường THPT Chuyên Lương Thế Vinh - Đồng Nai lần 2
- Đề thi thử THPT Quốc gia môn Toán năm 2019 Sở GD&ĐT Phú Thọ lần 2
- Đề thi thử THPT Quốc gia môn Toán năm 2019 hội 8 trường Chuyên Đồng Bằng Sông Hồng lần 3
- Đáp án đề thi thử THPT Quốc gia môn Toán năm 2019 trường THPT Chu Văn An - Gia Lai
Trên đây VnDoc đã giới thiệu tới bạn đọc Đề thi thử THPT Quốc gia môn Toán năm 2019 Sở GD&ĐT Vĩnh Phúc lần 2. Để có kết quả cao hơn trong học tập, VnDoc xin giới thiệu tới các bạn học sinh tài liệu Thi thpt Quốc gia môn Toán, Thi thpt Quốc gia môn Hóa học, Thi thpt Quốc gia môn Vật Lý, Thi thpt Quốc gia môn Sinh học, Mã trường thpt, Soạn bài lớp 12 mà VnDoc tổng hợp và đăng tải.


