Đề thi thử THPT Quốc gia môn Toán năm 2019 trường THPT Chuyên Phan Bội Châu - Nghệ An lần 1
Đề thi thử môn Toán 2019
VnDoc xin giới thiệu tới bạn đọc Đề thi thử THPT Quốc gia môn Toán năm 2019 trường THPT Chuyên Phan Bội Châu - Nghệ An lần 1. Nội dung tài liệu gồm 50 câu hỏi trắc nghiệm, thời gian làm bài 90 phút. Mời các bạn học sinh tham khảo.
- Bộ đề thi thử THPT Quốc gia môn Toán năm 2019 có đáp án
- Đề thi thử THPT Quốc gia môn Toán năm 2019 - Toán Học Tuổi Trẻ đề số 1
- Đề thi thử THPT Quốc gia môn Toán năm 2019 - Toán Học Tuổi Trẻ đề số 2
- Đề thi thử THPT Quốc gia môn Toán năm 2018 - 2019 trường THPT Yên Định 2 - Thanh Hóa lần 1
- Đề thi thử THPT Quốc gia môn Toán năm 2019 trường THPT Chuyên Long An
----------------------------
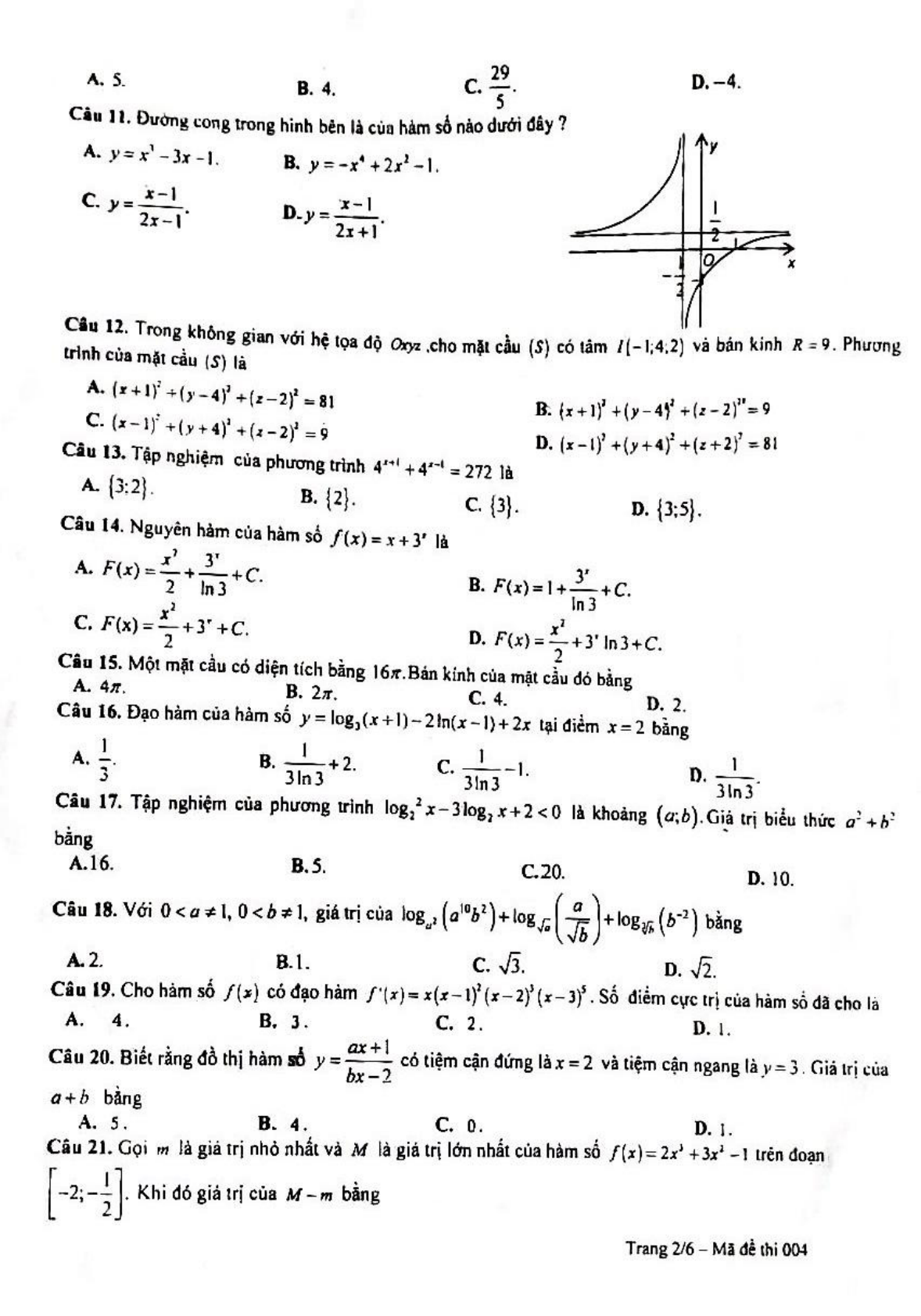
Trên đây VnDoc đã giới thiệu tới bạn đọc Đề thi thử THPT Quốc gia môn Toán năm 2019 trường THPT Chuyên Phan Bội Châu - Nghệ An lần 1. Để có kết quả cao hơn trong học tập, VnDoc xin giới thiệu tới các bạn học sinh tài liệu Thi thpt Quốc gia môn Toán, Thi thpt Quốc gia môn Hóa học, Thi thpt Quốc gia môn Vật Lý, Thi thpt Quốc gia môn Sinh học mà VnDoc tổng hợp và đăng tải.


