Đề thi thử THPT Quốc gia môn Toán trường THPT Nguyễn Huệ, Đắk Lắk năm 2015 (Lần 1)
Đề thi thử THPT Quốc gia môn Toán có đáp án
Đề thi thử THPT Quốc gia môn Toán trường THPT Nguyễn Huệ, Đắk Lắk năm 2015 (Lần 1) có 9 câu hỏi và đáp án đi kèm, là tài liệu ôn thi THPT Quốc gia, xét tuyển Đại học, giúp các bạn luyện tập và củng cố kiến thức môn Toán, từ đó chuẩn bị tốt nhất và sẵn sàng cho kì thi sắp tới.
Bộ đề thi thử THPT Quốc gia năm 2016 môn Toán - Số 1
|
SỞ GD & ĐT ĐĂK LĂK TRƯỜNG THPT NGUYỄN HUỆ |
ĐỀ THI THỬ THPT QUỐC GIA LẦN 1 NĂM 2015 Môn: TOÁN Thời gian làm bài: 180 phút, không kể thời gian phát đề |
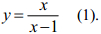
Câu 1 (2,0 điểm). Cho hàm số ![]()
a) Khảo sát sự biến thiên và vẽ đồ thị (C) của hàm số (1).
b) Tìm m để đường thẳng y = x + m cắt đồ thị (C) tại hai điểm phân biệt A, B sao cho tam giác IAB có diện tích bằng √3, với I là giao điểm của hai tiệm cận.
Câu 2 (1,0 điểm).
a) Giải phương trình: sin2x - 2cos2x = 3sinx - cosx.
b) Giải phương trình: log2(4x + 1 + 4).log2(4x + 1) = 3.
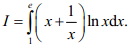
Câu 3 (1,0 điểm). Tính tích phân ![]()
Câu 4 (1,0 điểm).
a) Cho số phức thỏa mãn điều kiện
. Tính mô đun của số phức w = 1 + iz + z2.
b) Có 20 tấm thẻ được đánh số từ 1 đến 20. Chọn ngẫu nhiên ra 5 tấm thẻ. Tính xác suất để trong 5 tấm thẻ được chọn ra có 3 tấm thẻ mang số lẻ, 2 tấm thẻ mang số chẵn trong đó chỉ có đúng một tấm thẻ mang số chia hết cho 4.
Câu 5 (1,0 điểm). Trong không gian với hệ tọa độ Oxyz, cho điểm A(2;5;1) và mặt phẳng (P): 6x + 3y - 2z + 24 = 0. Tìm tọa độ điểm H là hình chiếu vuông góc của A trên mặt phẳng (P). Viết phương trình mặt cầu (S) có diện tích 784π và tiếp xúc với mặt phẳng (P) tại H, sao cho điểm A nằm trong mặt cầu.
Câu 6 (1,0 điểm). Cho hình chóp S.ABCD có đáy ABCD là hình chữ nhật. Tam giác SAB đều và nằm trong mặt phẳng vuông góc với mặt phẳng đáy (ABCD). Biết SD = 2a√3 và góc tạo bởi đường thẳng SC và mặt phẳng (ABCD) bằng 30o. Tính theo a thể tích khối chóp S.ABCD và khoảng cách từ điểm B đến mặt phẳng (SAC).
Câu 7 (1,0 điểm). Trong mặt phẳng với hệ tọa độ Oxy, cho hình thang cân ABCD với hai đáy AD, BC. Biết B(2;3) và AB = BC, đường thẳng AC có phương trình x - y - 1 = 0, điểm M(-2;-1) nằm trên đường thẳng AD. Viết phương trình đường thẳng CD.
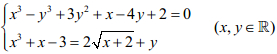
Câu 8 (1,0 điểm). Giải hệ phương trình 
Câu 9 (1,0 điểm). Cho a, b, c là ba số thực dương thỏa mãn điều kiện ab + bc + ca = 3. Chứng minh rằng:
![]()
Đáp án đề thi thử THPT Quốc gia môn Toán
Câu 1. a:

Câu 1. b:

Câu 2.

(Còn tiếp)