Đề thi thử THPT Quốc gia môn Toán trường THPT Núi Thành, Quảng Nam năm 2015
Đề thi thử THPT Quốc gia môn Toán
Đề thi thử THPT Quốc gia môn Toán trường THPT Núi Thành, Quảng Nam năm 2015 có 9 câu hỏi và đáp án đi kèm, là tài liệu ôn tập môn Toán hữu ích dành cho các bạn học sinh chuẩn bị bước vào kì thi THPT Quốc gia, luyện thi Đại học, Cao đẳng khối A, khối B, khối D. Mời các bạn tham khảo.
Đề thi thử THPT Quốc gia năm 2016 môn Toán trường THPT Nguyễn Văn Trỗi, Hà Tĩnh
Đề thi thử THPT Quốc gia năm 2016 môn Toán trường THPT Trần Nhân Tông, Quảng Ninh
Đề thi thử THPT Quốc gia môn Toán trường THPT Lý Tự Trọng, Hà Tĩnh năm 2015
|
Sở GD & ĐT Quảng Nam Trường THPT Núi Thành |
ĐỀ THI THỬ THPT QUỐC GIA NĂM 2015 MÔN TOÁN Thời gian: 180 phút |
Câu 1: 2 điểm
Cho hàm số y = x3 - 3x2 + 2 (1)
1) Khảo sát sự biến thiên và vẽ đồ thị (C) của hàm số (1).
2) Viết phương trình tiếp tuyến của đồ thị (C), biết tiếp tuyến đó có hệ số góc bằng 9.
Câu 2: 1 điểm
Giải phương trình: sin 3x - sin 2x + sin x = 0 (x ∈ R)
Câu 3: 1 điểm
1) Giải phương trình: 3x - 31 - x = 3 (x ∈ R)
2) Tìm môđun của số phức z, biết
![]()
Câu 4: 1 điểm
Tính tích phân:
![]()
Câu 5: 1 điểm
Trong không gian Oxyz cho điểm A(1; 0; - 2), B(3; 2; 0) và mặt phẳng (P) có phương trình x + y – z – 1 = 0.
1) Viết phương trình đường thẳng đi qua hai điểm A, B.
2) Chứng minh mặt cầu có đường kính AB tiếp xúc với mặt phẳng (P).
Câu 6: 1 điểm
Cho hình chóp S.ABC có đáy ABC là tam giác đều cạnh a. Đường thẳng SA vuông góc với mặt đáy. Góc giữa đường thẳng SB và mặt phẳng (ABC) bằng 600.
1) Tính thể tích khối chóp S.ABC theo a.
2) Tính khoảng cách giữa hai đường thẳng AC và SB theo a.
Câu 7: 1 điểm
Trong mặt phẳng với hệ tọa độ Oxy, cho tam giác ABC vuông cân tại A. Gọi M là trung điểm của đoạn BC, G là trọng tâm tam giác ABM, D(7; - 2) là điểm nằm trên đoạn MC sao cho GA = GD. Viết phương trình đường thẳng AB, biết đỉnh A có hoành độ nhỏ hơn 4 và phương trình đường thẳng AG là 3x – y – 13 = 0.
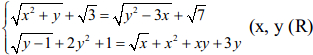
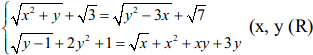
Câu 8: 1 điểm
Giải hệ phương trình:

Câu 9: 1 điểm
Cho x, y, z là các số thực thỏa mãn x2 + y2 + z2 = 0 và xyz ≤ 0. Chứng minh rằng 2(x + y + z) – xyz ≤ 10.
Đáp án đề thi thử THPT Quốc gia môn Toán
Câu 1:
Cho hàm số y = x3 - 3x2 + 2 (1)
1) Khảo sát sự biến thiên và vẽ đồ thị (C) của hàm số (1).
+ Txđ: D = R
+ Sự biến thiên

Hàm số đã cho đồng biến trên các khoảng (- ∞ ; 0) và (2 ; + ∞); nghịch biến trên khoảng (0 ; 2)
Đồ thị hàm số có điểm cực đại là A(0 ; 2) và điểm cực tiểu là B(2 ; -2)
+ Đồ thị: (vẽ đúng)
2) Viết phương trình tiếp tuyến của đồ thị (C), biết tiếp tuyến đó có hệ số góc bằng 9.
+ Gọi M(x0 ; y0) thuộc (C), d là tiếp tuyến của (C) tại điểm M
Phương trình đt d là: y – y0 = y'(x0)(x – x0)
+ Tt d có hệ số góc bằng 9 nên y'(x0) = 9 (3x02 – 6x0 = 9
x0 = -1; x0 = 3
Với x0 = - 1 thì y0 = -2. Pttt: y = 9x + 7
Với x0 = 3 thì y0 = 2. Pttt: y = 9x - 25
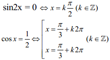
Câu 2:
sin3x - sin2x + sinx = 0 (2)
Pt (2) 2sin2xcosx - sin2x = 0
sin2x(2cosx - 1) = 0

(Còn tiếp)