Đề thi thử THPT Quốc gia năm 2023 môn Toán lần 2 trường THPT Chuyên Thái Bình
Thi THPT Quốc gia 2023
Loại File:
PDF
Phân loại:
Tài liệu Tính phí

THPT CHUYÊN THÁI BÌNH
ĐỀ THI THỬ TỐT NGHIỆP THPT – NĂM HỌC 2022 – 2023 - LẦN 2
Câu 1: Cho cấp số cộng
n
u
có
2
3u
, công sai
2.d
Khi đó
4
u
bằng
A.
5
. B.
1
. C.
9
. D.
7
.
Câu 2: Hàm số nào dưới đây không có điểm cực trị?
A.
3
3y x x
. B.
4
2yx
. C.
34yx
. D.
2
2y x x
.
Câu 3: Thể tích của khối cầu bán kính
R
bằng
A.
3
4
3
R
. B.
3
3
4
R
. C.
3
2 R
. D.
2
4 R
.
Câu 4: Cho hnh lp phương
. ' ' ' '.ABCD A B C D
Góc gia hai đưng thng
AC
và
'AD
bằng
A.
60
. B.
30
. C.
45
. D.
90
.
Câu 5: Cho hnh chóp tam giác đều
.S ABC
có độ dài cạnh đáy bằng
,a
độ dài cạnh bên bằng
23
.
3
a
Tính góc gia cạnh bên và mặt đáy của hình chóp.
A.
60
. B.
30
. C.
45
. D.
90
.
Câu 6: Một hình trụ có bán kính đáy
5,r cm
chiều cao
7.h cm
Diện tích toàn phần của hình trụ là
A.
2
120 cm
. B.
2
95 cm
. C.
2
60 cm
. D.
2
175 cm
.
Câu 7: Cho khối chóp có thể tích bằng
3
32cm
và diện tích đáy bằng
2
16 .cm
Tính chiều cao của khối
chóp.
A.
2cm
. B.
4cm
. C.
3cm
. D.
6cm
.
Câu 8: Cho hàm số
y f x
thỏa mãn
2
1 2 3 , .f x x x x x
Hàm số
y f x
đạt
cực đại tại:
A.
2x
. B.
1x
. C.
3x
. D.
1x
.
Câu 9: Cho hàm số
fx
liên tục trên và có bảng biến thiên như sau:
Hàm số đã cho nghịch biến trên khoảng nào dưới đây?
A.
2;1
. B.
0;1
. C.
;1
. D.
;0
.
Câu 10: Tính đạo hàm của hàm số
2
2
3
xx
y
.
A.
2
2
3 2 2
ln3
xx
x
y
. B.
2
2
3 ln3
xx
y
.
C.
2
2
3
ln3
xx
y
. D.
2
2
3 2 2 ln3
xx
yx
.

Câu 11: Tích các nghiệm của phương trnh
2
2 5 1
1
3
3
xx
là
A.
2
. B.
0
. C.
2
. D.
5
2
.
Câu 12: Giá trị lớn nhất của hàm số
2
16yx
là
A.
16
. B.
4
. C.
0
. D.
1
.
Câu 13: Đưng tiệm cn đứng và tiệm cn ngang của đồ thị hàm số
23
1
x
y
x
tương ứng có phương
trình là
A.
2x
và
1y
. B.
1x
và
3y
. C.
1x
và
2y
. D.
1x
và
2y
.
Câu 14: Hàm số nào dưới đây có bảng biến thiên như hnh vẽ sau?
A.
21
2
x
y
x
. B.
4
2
x
y
x
. C.
1
2
x
y
x
. D.
3
2
x
y
x
.
Câu 15: Số giao điểm của đồ thị hàm số
32
21y x x x
và đưng thng
12yx
là
A.
3
. B.
1
. C.
0
. D.
2
.
Câu 16: Tính thể tích của khối nón có chiều cao bằng 8 và độ dài đưng sinh bằng 10.
A.
256
. B.
288
. C.
96
. D.
384
.
Câu 17: Tp xác định của hàm số
21yx
là
A.
1
;
2
D
. B. . C.
1
\
2
. D.
1
;
2
D
.
Câu 18: Cho hàm số
y f x
có bảng biến thiên như hnh vẽ:
Tổng số đưng tiệm cn đứng và tiệm cn ngang của đồ thị hàm số
y f x
là
A.
3
. B.
2
. C.
0
. D.
1
.
+
x
y'
y
1
1
+
+
0
∞
∞
2
4
∞
3
1

Câu 19: Cho
a
,
b
,
c
là các số thực dương và
1.a
Mệnh đề nào sau đây sai?
A.
1
log log
aa
b
b
. B.
log log .log
a a a
b c b c
.
C.
log log log
a a a
b
bc
c
. D.
log log log
a a a
bc b c
.
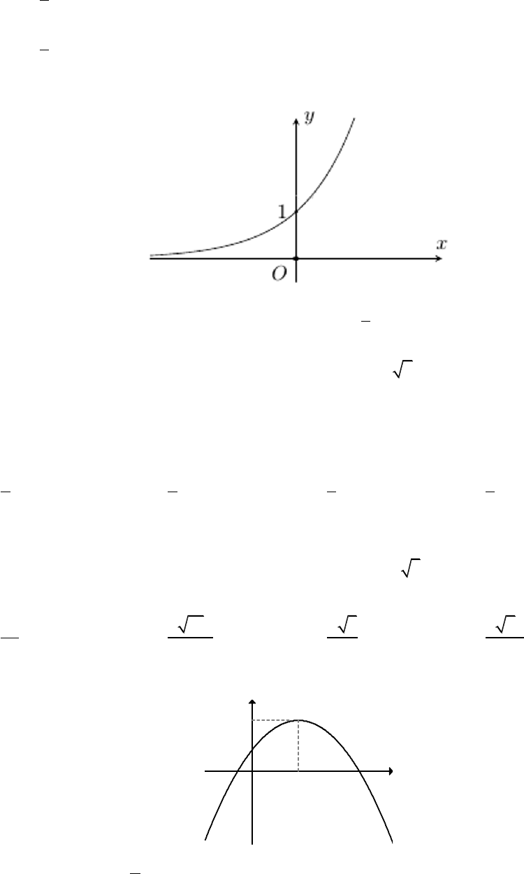
Câu 20: Đưng cong trong hình bên dưới là đồ thị của hàm số nào dưới đây?
A.
3
logyx
. B.
3
x
y
. C.
1
3
x
y
. D.
3
yx
Câu 21: Xét tất cả các số thực dương
a
và
b
thỏa mãn
2
3 27
log log .a a b
Mệnh đề nào dưới đây đúng?
A.
2
ab
. B.
ab
. C.
3
ab
. D.
2
ab
.
Câu 22: Gieo ngẫu nhiên một con súc sắc cân đối và đồng chất 3 lần. Tính xác suất để tích số chấm xuất
hiện trong 3 lần gieo là một số lẻ.
A.
7
8
. B.
5
8
. C.
3
8
. D.
1
8
.
Câu 23: Cho hình chóp
.S ABCD
có đáy là hnh ch nht. Các mặt bên
SAB
và
SAD
vuông góc với
đáy. Góc gia mặt phng
SCD
và
ABCD
bằng
60 ,
3.BC a
Khoảng cách gia hai đưng
thng
AB
và
SC
bằng
A.
3
2
a
. B.
6 13
13
a
. C.
3
2
a
. D.
65
5
a
.
Câu 24: Cho hàm số bc ba
()y f x
có đồ thị hàm số
'( )fx
như hnh vẽ bên.
Hàm số
1
( ) ( )g x f x
x
đồng biến trên khoảng nào dưới đây?
A.
1;3
. B.
0;7
. C.
;1
. D.
3;
.
Câu 25: Cho hình nón có chiều cao và bán kính đáy đều bằng
a
. Mặt phng
()P
đi qua đỉnh của hình
nón và cắt đưng tròn đáy theo một dây cung có độ dài bằng
a
. Khoảng cách từ tâm của đáy tới
mặt phng
()P
bằng
x
y
3
4
8
7
Đề thi thử tốt nghiệp THPT Quốc gia năm 2023 môn Toán lần 2 trường THPT Chuyên Thái Bình
Đề thi thử THPT Quốc gia năm 2023 môn Toán lần 2 trường THPT Chuyên Thái Bình được VnDoc.com sưu tầm và xin gửi tới bạn đọc cùng tham khảo có thêm tài liệu ôn thi THPT Quốc gia 2023 môn Toán nhé.
Đề thi được biên soạn theo cấu trúc đề thi trắc nghiệm giống với đề thi THPT Quốc gia các năm về trước. Đề thi được tổng hợp gồm có 50 câu hỏi trắc nghiệm có đáp án kèm theo. Thí sinh làm bài trong thời gian 90 phút. Hi vọng qua bài viết này bạn đọc có thêm tài liệu học tập nhé. Mời các bạn cùng tham khảo thêm mục Thi THPT Quốc gia 2023.