Đề thi thử vào lớp 10 THPT môn Toán trường THCS Yên Phương, Nam Định năm 2016 - 2017
Đề thi thử vào lớp 10 THPT môn Toán
Đề thi thử vào lớp 10 THPT môn Toán trường THCS Yên Phương, Nam Định năm 2016 - 2017 được VnDoc sưu tầm và đăng tải nhằm giúp các em học sinh có thêm nhiều tài liệu ôn thi vào lớp 10 môn Toán để tham khảo chuẩn bị tốt cho kì thi tuyển sinh sắp tới đây đạt kết quả cao. Mời các em cùng tham khảo.
Bộ đề thi vào lớp 10 THPT môn Toán năm học 2016 - 2017
Đề thi thử vào lớp 10 THPT môn Toán trường THCS Cồn Thoi, Kim Sơn năm 2016 - 2017
| TRƯỜNG THCS YÊN PHƯƠNG | ĐỀ THI THỬ VÀO 10 Năm học: 2016 - 2017 MÔN: TOÁN Thời gian: 120 phút (không kể thời gian giao đề) |

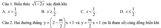
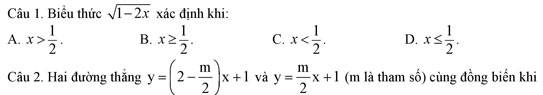
A. – 2 < m < 0. B. m > 4. C. 0 < m < 4. D. – 4 < m < - 2.
Câu 3. Phương trình 4x – 3y = -1 nhận cặp số nào sau đây là một nghiệm?
A. (-1; 1). B. (-1; -1). C. (1; -1). D. (1; 1).
Câu 4. Hai hệ phương trình
là tương đương khi k bằng
A. 3. B. -3. C. 1. D. -1.
Câu 5. Cho hai số u và v thỏa mãn điều kiện u + v = 5; u.v = 6. Khi đó u, v là hai nghiệm của phương trình
A. x2 + 5x + 6 = 0. B. x2 – 5x + 6 = 0.
C. x2 + 6x + 5 = 0. D. x2 – 6x + 5 = 0.
Câu 6. Cho α = 35o; β = 55o. Khẳng định nào sau đây là sai?
A. sinα = sinβ B. sinα = cosβ C. tgα = cotgβ D. cosα = sinβ
Câu 7. Cho đường thẳng a và điểm O cách a một khoảng 2,5 cm. Vẽ đường tròn tâm O, đường kính 5 cm. Khi đó đường thẳng a
A. không cắt đường tròn (O). B. tiếp xúc với đường tròn (O).
C. cắt đường tròn (O). D. kết quả khác.
Câu 8. Cho hình chữ nhật có chiều dài là 5 cm và chiều rộng là 3 cm. Quay hình chữ nhật đó một vòng quanh chiều dài của nó ta được một hình trụ. Diện tích xung quanh của hình trụ đó là:
A. 30π (cm2) B. 10π (cm2) C. 15π (cm2) D. 6π (cm2)
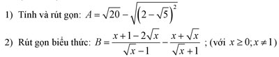
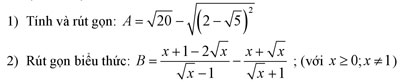
Câu 9: (1,5 điểm):

Câu 10: (1,5 điểm)
1) Cho hàm số bậc nhất: y = (m - 1)x + 2m2 + 3 (với m là tham số; m ≠ 1).
Tìm tất cả các giá trị của m để đồ thị của hàm số trên đi qua điểm M(1; 5) .
2) Cho phương trình x2 - 2(m + 1)x + m2 + 4 = 0 (với m là tham số) có 2 nghiệm x1 và x2. Tìm m để biểu thức C = x1 + x2 - x1x2 đạt giá trị lớn nhất và tìm giá trị lớn nhất đó.
Câu 11 (1 điểm) Giải hệ phương trình sau:

Câu 12: (3 điểm)
Cho tam giác nhọn ABC nội tiếp đường tròn (O; R), các tiếp tuyến của (O) tại B và C cắt nhau tại E, AE cắt (O) tại D (D ≠ A). Gọi xy là tiếp tuyến tại A của đường tròn (O), từ E kẻ đường thẳng song song với xy cắt các đường thẳng AB và AC lần lượt ở P và M.
1) Chứng minh: Tứ giác BCMP nội tiếp.
2) Gọi H là trung điểm của đoạn thẳng BC. Chứng minh:
a) EP = EM và PC ⊥ AM.
b) AH.HD = BC2/4;
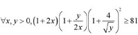
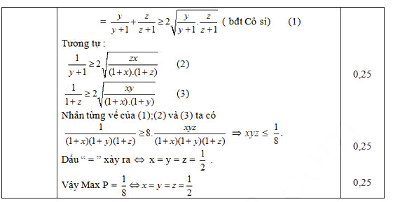
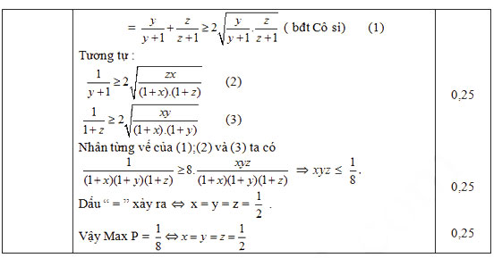
Câu 13 (1 điểm) Chứng minh rằng ![]()
Đáp án đề thi thử vào lớp 10 THPT môn Toán
Đề thi thử vào lớp 10 THPT môn Ngữ văn phòng GD&ĐT Yên Lạc, Vĩnh Phúc năm 2016 - 2017
Đề thi thử vào lớp 10 THPT môn Toán trường THCS Tích Sơn, Vĩnh Yên năm 2016 - 2017

