Giáo án Hóa học 8 bài 44: Bài luyện tập 8
Giáo án Hóa học 8 bài 44
Giáo án Hóa học 8 bài 44: Bài luyện tập 8 được soạn chi tiết thiết kế các hoạt động cho học sinh dễ dàng thực hiện, phân bố nội dung giảng dạy chính yếu, phù hợp giúp cho học sinh hiểu được khái niệm độ tan của một chất trong nước và những yếu tố nào ảnh hưởng đến độ tan của chất rắn và chất khí trong nước. Biết ýnghĩa của nồng độ phần trăm và nồng độ mol là gì? Mời qúy thầy cô tải miễn phí về làm tư liệu tham khảo để soạn bài tốt hơn.
BÀI LUYỆN TẬP 8
I. MỤC TIÊU: Sau bài này HS phải:
1. Kiến thức:
- Củng cố những kiến thức về dung dịch, độ tan của chất trong nước, nồng độ dung dịch, cách pha chế dung dịch.
- Vận dụng kiến thức vào việc làm các bài tập liên quan.
2. Kĩ năng:
- Rèn kĩ năng giải bài tập hóa học, tính toán hóa học.
3. Thái độ:
- Có ý thức học tập nghiêm túc.
4. Trọng tâm:
- Dung dịch, độ tan của chất trong nước, nồng độ dung dịch, cách pha chế dung dịch.
5. Năng lực cần hướng đến
- Năng lực sử dụng ngôn ngữ hóa học, năng lực tính toán, năng lực vận dụng kiến thức hóa học vào cuộc sống
II. CHUẨN BỊ:
1. Giáo viên và học sinh
a. Giáo viên: Các bài tập vận dụng có liên quan.
b. Học sinh: Ôn tập những kiến thức đã học ở chương 6.
2. Phương pháp: Thảo luận nhóm – đàm thoại – làm việc cá nhân.
III. HOẠT ĐỘNG DẠY VÀ HỌC:
1. Ổn định lớp (1’):
|
Lớp |
Tên HS vắng học |
Lớp |
Tên HS vắng học |
|
8A1 |
8A4 |
||
|
8A2 |
8A5 |
||
|
8A3 |
2. Kiểm tra bài cũ: Không kiểm tra
3. Bài mới:
a. Giới thiệu bài: Chúng ta đã tìm hiểu các khái niệm về dung dịch, nồng độ dung dịch. Đây là một chương rất quan trọng trong chương trình hóa học THCS. Nhằm giúp các em ôn tập lại những kiến thức đã học, hôm nay chúng ta cùng nhau tìm hiểu bài luyện tập 8.
b. Các hoạt động chính:
|
Hoạt động của GV |
Hoạt động của HS |
|
Hoạt động 1. Kiến thức cần nhớ (12’). |
|
|
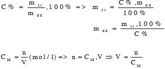
- GV: Yêu cầu HS nhắc lại các khái niệm: 1. Dung dịch? Chất tan? Dung môi? 2. Độ tan? 3. Nồng độ phần trăm? Nồng độ mol? 4. Cách pha chế một dung dịch. - GV: Yêu cầu HS viết các công thức tính nồng độ phần trăm? Nồng độ mol dung dịch và các công thức liên quan. Phụ đạo Hs yếu kém |
- HS: Nhớ lại kiến thức cũ và trả lời các câu hỏi của GV đã đặt ra.
- HS: Lên bảng viết các công thức theo yêu cầu:
|
|
Hoạt động 2. Luyện tập (30’). |
|
|
- GV: Yêu cầu HS đọc đề bài tập 1 SGK/151 - GV: Hướng dẫn bằng cách làm mẫu câu a: = 31,6g. Nghĩa là ở 200C, 100g nước có thể hòa tan tối đa là 31,6g KNO3 để tạo ra dung dịch KNO3 bão hòa. - GV: Hướng dẫn HS làm bài tập 2 SGK/151: + Tính khối lượng chất tan có trong 20g dung dịch H2SO4 50%.
+ Tính C% của 50g dung dịch chứa 10g chất tan.
+ Tính số mol và thể tích 50g dung dịch H2SO4 20%.
+ Tính CM.
- GV: Tiếp tục hướng dẫn HS làm bài tập 5.a: + Tính khối lượng chất tan. + Khối lượng nước.
+ Trình bày cách pha chế dung dịch. -GV: Hướng dẫn HS làm bài tập 6.b:
+ Tính số mol trong 250ml dung dịch 0,5M.
+ Tính thể tích dung dịch 2M chứa số mol chất tan trên.
+ Trình bày cách pha chế. |
- HS: Đọc đề bài tập 1 SGK/151 của bài tập. - HS: Làm bài tập theo hướng dẫn mẫu của GV.
- HS: Suy nghĩ và thực hiện bài tập theo hướng dẫn của GV: a. Khối lượng chất tan có trong 20g dung dịch H2SO4 50%: + Nồng độ phần trăm của 50g dung dịch chứa 10g chất tan:
+ Số mol và thể tích 50g dung dịch H2SO4 20%:
- HS: Thực hiện theo hướng dẫn của GV:
+ Pha chế: Cân 16g chất rắn. Cân 384g nước. Cho vào cốc 500ml khuấy đều. Thu được 400g dung dịch 4%. - HS: Suy nghĩ và thực hiện theo hướng dẫn của GV: + Số mol chất tan trong 250ml dung dịch 0,5M: n = CM.V = 0,5 . 0,25 = 0,075(mol) + Thể tích dung dịch 2M chứa 0,075 mol chất tan:
+ Pha chế: Đong lấy 37,5ml dung dịch 2M cho vào cốc 300ml. Đổ từ từ nước vào cốc chứa dung dịch trên và khuấy nhẹ đến 250ml thì dừng lại. Ta thu được 250ml dung dịch 0,5 |
3. Nhận xét - Dặn dò (2’):
- GV: Nhận xét tinh thần thái độ của HS trong tiết học.
- GV:
- Yêu cầu HS về nhà làm bài tập 4, 5.b SGK/151.
- Yêu cầu HS chuẩn bị cho bài thực hành.
IV. RÚT KINH NGHIỆM:
…………………………………………………………………………………………………
…………………………………………………………………………………………………


