Giải VTH Khoa học tự nhiên 9 Kết nối tri thức bài 3
VnDoc xin giới thiệu bài Giải vở thực hành Khoa học tự nhiên 9 bài 3: Cơ năng có đáp án chi tiết cho từng câu hỏi chương trình sách mới. Thông qua đây các em học sinh đối chiếu với lời giải của mình, hoàn thành bài tập hiệu quả.
Bài: Cơ năng
Câu 3.1: Khi sử dụng máy để đóng cọc, đầu búa được nâng lên đến một độ cao nhất định rồi thả cho rơi xuống cọc cần đóng Trong quá trình rơi, động năng và thế năng của đầu búa chuyển hóa qua lại lẫn nhau như thế nào?
Phương pháp giải:
Vận dụng lí thuyết mối quan hệ giữa vận tốc và độ cao với động năng và thế năng của vật
Lời giải chi tiết:
Trong quá trình rơi, vận tốc của vật tăng nên động năng của vật tăng, độ cao của vật giảm nên thế năng của vật giảm.
Câu 3.2: Lấy ví dụ về trường hợp vật vừa có động năng, vừa có thế năng. Mô tả sự chuyển hóa (nếu có) giữa động năng và thế năng
Phương pháp giải:
Vận dụng kiến thức thực tế để đưa ra ví dụ
Lời giải chi tiết:
Ví dụ: Con lắc đơn đang dao động quanh vị trí cân bằng

Trong quá trình dao động từ vị trí cân bằng đến vị trí biên thì vận tốc của con lắc giảm nên động năng giảm, độ cao của vật tăng nên thế năng tăng
Câu 3.3: Một vật có khối lượng m = 1,5 kg được thả rơi từ độ cao h = 4 m so với mặt đất. Chọn gốc thế năng ở mặt đất, tính tốc độ của vật ngay trước khi chạm đất. Biết toàn bộ thế năng của vật chuyển hóa thành động năng của vật
Phương pháp giải:
Vận dụng công thức tính cơ năng:
\({W_C} = {W_d} + {W_t} = \frac{1}{2}m{v^2} + Ph\)
Lời giải chi tiết:
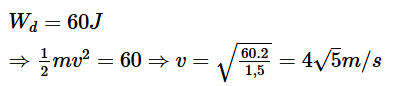
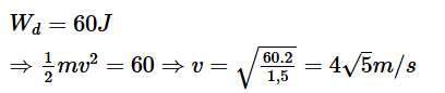
Thế năng của vật ở độ cao 4 m là:
\({W_t} = Ph = 1,5.10.4 = 60J\)
Ta có:
\({W_C} = {W_d} + {W_t} = 0 + 60 = 60J\)
Cơ năng của vật không thay đổi mà toàn bộ thế năng của vật được chuyển hóa thành động năng nên ta có:

Câu 3.4 1: Quan sát thí nghiệm chuyển động của con lắc đơn (Hình 3.2 SGK KHTN 9) và trả lời các câu hỏi sau
Có nhận xét gì về sự chuyển hóa giữa động năng và thế năng của vật nặng?
Phương pháp giải:
Vận dụng lí thuyết về sự chuyển hóa giữa động năng và thế năng
Lời giải chi tiết: Nhận xét: Khi động năng của con lắc đơn tăng thì thế năng của nó giảm và ngược lại
Câu 3.4 2: Sau một khoảng thời gian chuyển động, vì sao độ cao của vật nặng giảm dần?
Phương pháp giải:
Vận dụng lí thuyết về sự chuyển hóa giữa động năng và thế năng
Lời giải chi tiết:
Sau một khoảng thời gian chuyển động, độ cao của vật nặng giảm dần vì lực cản của không khí
Câu 3.5: Nếu bỏ qua lực cản của không khí, hãy mô tả sự chuyển hóa động năng và thế năng của các vật được ném với cùng tốc độ ban đầu (Hình 3.3) trong hai trường hợp:
- Ném theo phương ngang, vật chuyển động theo quỹ đạo (1).
- Ném vật theo hướng chếch lên trên, vật chuyển động theo quỹ đạo (2).

Phương pháp giải:
Vận dụng lí thuyết về sự chuyển hóa giữa động năng và thế năng
Lời giải chi tiết:
- Khi ném theo phương ngang, vật chuyển động theo quỹ đạo (1) thì động năng của vật tăng, thế năng của vật giảm trong toàn bộ quá trình
- Khi ném vật theo hướng chếch lên trên, vật chuyển động theo quỹ đạo (2) thì ban đầu động năng của vật giảm, thế năng của vật tăng. Đến độ cao cực đại thì vật bắt đầu rơi xuống, động năng của vật tăng, thế năng của vật giảm
Câu 3.6 1: Quan sát xe thế năng (Hình 3.4 SGK KHTN 9) và thực hiện các yêu cầu sau:
Mô tả sự chuyển hóa năng lượng từ khi thả quả nặng đến khi quả nặng chạm sàn xe.
Phương pháp giải:
- Vận dụng lí thuyết về sự chuyển hóa giữa động năng và thế năng
- Vận dụng công thức tính cơ năng:
\({W_C} = {W_d} + {W_t} = \frac{1}{2}m{v^2} + Ph\)
Lời giải chi tiết:
Từ khi thả quả nặng đến khi chạm sàn thì động năng của vật tăng và thế năng của vật giảm
Câu 3.6 2: Cho độ cao ban đầu của quả nặng so với sàn xe là 8 cm, khối lượng của quả nặng là m1 = 20 g, khối lượng của xe là m2 = 50 g. Tính tốc độ của xe ngay khi quả nặng chạm sàn xe, nếu coi toàn bộ thế năng của quả nặng chuyển hóa thành động năng.
Phương pháp giải:
- Vận dụng lí thuyết về sự chuyển hóa giữa động năng và thế năng
- Vận dụng công thức tính cơ năng:
\({W_C} = {W_d} + {W_t} = \frac{1}{2}m{v^2} + Ph\)
Lời giải chi tiết:
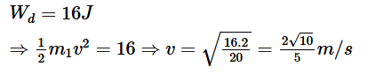
Thế năng của vật ở độ cao 8 cm là:
\({W_t} = Ph = 20.10.0,08 = 16J\)
Ta có:
\({W_C} = {W_d} + {W_t} = 0 + 16 = 16J\)
Cơ năng của vật không thay đổi mà toàn bộ thế năng của vật được chuyển hóa thành động năng nên ta có:

Câu 3.6 3: Trong thực tế, giá trị tốc độ thu được của xe khi quả nặng chạm sàn xe sẽ nhỏ hơn giá trị tính toán ở câu b. Hãy giải thích tại sao.
Phương pháp giải:
- Vận dụng lí thuyết về sự chuyển hóa giữa động năng và thế năng
- Vận dụng công thức tính cơ năng:
\({W_C} = {W_d} + {W_t} = \frac{1}{2}m{v^2} + Ph\)
Lời giải chi tiết:
Trong thực tế, giá trị tốc độ thu được của xe khi quả nặng chạm sàn xe sẽ nhỏ hơn giá trị tính toán ở câu b vì trong thực tế có sự trao đổi năng lượng với môi trường bên ngoài.
Câu 3.7: Vì sao để nhảy được xa, người ta cần chạy lấy đà đủ nhanh và bật cao tại vị trí giậm nhảy?
Phương pháp giải:
Vận dụng kiến thức về cơ năng
Lời giải chi tiết:
Chạy lấy đà đủ nhanh và bật cao tại vị trí giậm nhảy giúp tăng động năng, điều chỉnh góc nhảy tối ưu, kéo dài thời gian bay trên không, và tận dụng sức mạnh cơ bắp, tất cả đều đóng góp vào việc nhảy xa hơn
Câu 3.8: Khi một quả bóng được tung lên, thế năng của nó thay đổi như thế nào trong quá trình chuyển động lên cao?
A. Tăng lên.
B. Giảm xuống.
C. Không đổi.
D. Biến đổi không định kì.
Phương pháp giải:
Vận dụng kiến thức về cơ năng
Lời giải chi tiết:
Khi quả bóng được tung lên, độ cao h của nó tăng lên theo thời gian. Vì vậy, thế năng trọng trường của quả bóng cũng tăng lên.
Câu 3.9: Một viên bi được thả rơi từ độ cao 6 m so với mặt đất. Bỏ qua sức cản không khí và chọn gốc thế năng ở mặt đất. Tại độ cao 3 m, tỉ số giữa động năng và thế năng của viên bi là bao nhiêu?
Phương pháp giải:
Vận dụng kiến thức về cơ năng
Lời giải chi tiết:
W = mghmax
Wt = mgh
Mà
\(\frac{h}{{{h_{\max }}}} = \frac{3}{6} = \frac{1}{2}\)nên Wt = Wđ =
\(\frac{1}{2}\)W
Nên tỉ lệ giữa động năng và thế năng của viên bi là 1:1
Câu 3.10: Một người ném một quả bóng theo phương thẳng đứng lên cao từ mặt đất với tốc độ ban đầu là 36 km/h. Bỏ qua sức cản không khí, hỏi quả bóng sẽ đạt đến độ cao tối đa là bao nhiêu?
Phương pháp giải:
Vận dụng kiến thức về cơ năng
Lời giải chi tiết:
\(mgh = \frac{1}{2}m{v^2} \Rightarrow 10h = \frac{1}{2}{.10^2} \Rightarrow h = 5(m)\)
>>>> Bài tiếp theo: Giải VTH Khoa học tự nhiên 9 Kết nối tri thức bài 4