Giải VTH Khoa học tự nhiên 9 Kết nối tri thức bài 4
Với nội dung bài Giải vở thực hành Khoa học tự nhiên 9 bài 4: Công và công suất sách Kết nối tri thức hay nhất, ngắn gọn sẽ giúp học sinh lớp 9 dễ dàng làm bài tập trong chương trình học môn Khoa học tự nhiên 9
Bài: Công và công suất
Câu 4.1: Hãy mô tả quá trình thực hiện công trong các ví dụ ở Hình 4.2 SGK KHTN 9 thông qua việc xác định lực tác dụng lên vật và quãng đường vật dịch chuyển theo hướng của lực
Phương pháp giải:
Vận dụng lí thuyết về công cơ học
Lời giải chi tiết:

Câu 4.2: Một xe nâng tác dụng một lực hướng lên thẳng đứng, có độ lớn 700 N để nâng thùng hàn từ mặt đất lên độ cao 2 m. Tính công của lực nâng
Phương pháp giải:
Vận dụng công thức tính công: A = F.s
Lời giải chi tiết:
Công của lực nâng là: A = F.s = 700.2 = 1400 J
Câu 4.3: Hai xe nâng hai thùng hàng từ mặt đất (điểm A) tới sàn xe có độ cao 1 m (điểm B). Xe thứ nhất nâng thùng hàng có trọng lượng 500 N hết thời gian 10 s (Hình 4.4 SGK KHTN 9). Xe thứ hai nắng thùng hàng có trọng lượng 700 N hết thời gian 15 s.
a) Tính công mà mỗi xe đã thực hiện để nâng các thùng hàng.
b) Xe nào thực hiện công nhanh hơn?
Phương pháp giải:
a) Vận dụng công thức tính công: A = F.s
b) So sánh công của hai xe
Lời giải chi tiết:
a) Công của xe thứ nhất là: A1 = F1.s = 500.1 = 500 J
Công của xe thứ hai là: A2 = F2.s = 700.1 = 700 J
b) Vì t2 > t1 nên xe thứ nhất thực hiện công nhanh hơn xe thứ hai
Câu 4.4: Cứ mỗi lần đập, tim người thực hiện một công khoảng 1 J. Em hãy đề xuất cách đo công suất của tim bằng cách sử dụng một đồng hồ bấm giây
Phương pháp giải:
Vận dụng kiến thức thực tế
Lời giải chi tiết:
Ta có thể đo bằng cách là đếm số lần đập của tim trong một khoảng thời gian nhất định. Sau đó chúng ta tính được công của tim người: A = n J. Từ đó tính được công suất của tim bằng công thức : P = A/t
Câu 4.5: Đơn vị của công là
A. jun (J).
B. oát (W).
C. niutơn (N).
D. jun trên giây (J/s).
Phương pháp giải:
Vận dụng kiến thức về công và công suất
Lời giải chi tiết:
Đơn vị của công là jun (J)
Đáp án A
Câu 4.6: Một người dùng sức kéo một vật nặng 500 N lên cao 10 m trong thời gian 0,5 phút.
Tính công suất mà người đó đã thực hiện.
A. 100 W.
B. 50 W.
C. 166,7 W.
D. 10 W.
Phương pháp giải:
Vận dụng kiến thức về công và công suất
Lời giải chi tiết:
\(P = \frac{A}{t} = \frac{{F.s}}{t} = \frac{{500.10}}{{30}} = 166,7W\)
Đáp án C
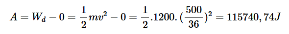
Câu 4.7: Một ô tô có khối lượng 1,2 tấn chuyển động với tốc độ 50 km/h. Tính công cần thiết để đưa ô tô từ trạng thái đứng yên lên tốc độ này.
Phương pháp giải:
Vận dụng kiến thức về công và công suất
Lời giải chi tiết:
Công cần thiết để đưa ô tô từ trạng thái đứng yên lên tốc độ này là:

Câu 4.8: Kéo thùng hàng trượt trên sàn nhà bằng một dây hợp với phương nằm ngang một góc 30°, lực tác dụng lên dây là 200 N. Tính công của lực kéo khi thùng trượt được 10 m.
Phương pháp giải:
Vận dụng kiến thức về công và công suất
Lời giải chi tiết:
Công của lực kéo khi thùng trượt được 10 m là:
![]()
>>>> Bài tiếp theo: Giải VTH Khoa học tự nhiên 9 Kết nối tri thức bài 5