Lý thuyết Công nghệ 8 Chân trời sáng tạo bài 6
Lý thuyết Công nghệ lớp 8 bài 6: Truyền và biến đổi chuyển động sách Chân trời sáng tạo hay, chi tiết được chúng tôi sưu tầm và giới thiệu giúp học sinh nắm vững kiến thức trọng tâm, ôn luyện để học tốt môn Công nghệ 8
Bài: Truyền và biến đổi chuyển động
1. Truyền chuyển động

- Nguồn chuyển động từ vật dẫn thường được truyền tới các bộ phận khác để thực hiện chức năng hoặc để thay đổi tốc độ của sản phẩm khi máy móc hoạt động.
- Ví dụ: chuyển động từ bàn đạp được truyền tới bánh xe sau của xe đạp (Hình 6.2).
- Các bộ truyền động thông dụng trong cơ khí gồm truyền động ăn khớp và truyền động đai.
1.1. Truyền động ăn khớp
a. Cấu tạo

- Bộ truyền động ăn khớp gồm một cặp bánh răng hoặc đĩa xích
- Truyền động bánh răng hoặc truyền động xích ăn khớp với nhau
- Bánh răng hoặc đĩa xích truyền chuyển động cho nhau (Hình 6.3 minh họa)
b. Nguyên lí hoạt động
- Khi bánh dẫn 1 (có Z1 răng) quay với tốc độ n1 (vòng/phút), bánh dẫn 2 (có Z2 răng) quay với tốc độ n2 (vòng/phút)
- Tỉ số truyền (i) được tính theo công thức (1)

- Công thức (2) cho biết bánh có số răng ít hơn sẽ quay nhanh hơn
- Khi i = 1, bộ truyền giữ nguyên tốc độ; i < 1, bộ truyền tăng tốc và khi i> 1, bộ truyền giảm tốc.
1.2. Truyền động đai
a. Cấu tạo

- Bộ truyền động bánh đai gồm một cặp bánh đai truyền chuyển động cho nhau bằng dây đai
- Bộ truyền động đai sử dụng ma sát để truyền chuyển động và nới rộng khoảng cách giữa các trục (Hình 6.5)
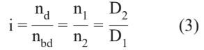
b. Nguyên lí hoạt động
- Tỉ số truyền (i) giữa các bánh đai được tính theo công thức (3) khi bánh dẫn 1 (đường kính D1) quay với tốc độ n1 (vòng/phút) và bánh dẫn 2 (đường kính D2) quay với tốc độ n2 (vòng/phút)

- Khi i = 1, bộ truyền giữ nguyên tốc độ; i < 1, bộ truyền tăng tốc và khi i >1, bộ truyền giảm tốc.
2. Biến đổi chuyển động
2.1. Cơ cấu tay quay con trượt
a. Cấu tạo

- Các bộ phận của máy hoặc vật thể có nhiều dạng chuyển động khác nhau.
- Khi dạng chuyển động của máy khác với bộ phận tạo chuyển động, cần có cơ cấu để biến đổi.
- Có hai loại cơ cấu biến đổi chuyển động: quay thành tịnh tiến hoặc ngược lại, quay chuyển động lắc hoặc ngược lại.
b. Nguyên lí hoạt động
- Tay quay 1 quay quanh trục A, đầu B của thanh truyền 2 chuyển động tròn, làm cho con trượt 3 chuyển động tịnh tiến hoặc lên xuống trong giá đỡ 4.
- Cơ cấu biến đổi chuyển động quay thành chuyển động tịnh tiến hoặc ngược lại tùy theo bộ phận dẫn động.
2.2. Cơ cấu tay quay thanh lắc
a. Cấu tạo
Cơ cấu tay quay con trượt gồm tay quay 1, thanh truyền 2, con trượt 3 và giá đỡ 4.

b. Nguyên lí hoạt động
- Tay quay 1 quay quanh trục A.
- Thanh truyền 2 kết nối với thanh lắc 3.
- Thanh lắc 3 lắc qua lại quanh trục D một góc xác định.
3. Tháo lắp và tính tỉ số truyền của một số bộ phận truyền và biến đổi chuyển động
3.1. Chuẩn bị
- Thiết bị: mô hình bộ truyền và biến đổi chuyển động.
- Dụng cụ: kìm, tua vít, mỏ lết,...
3.2. Nội dung
- Tháo lắp bộ truyền và biến đổi chuyển động.
- Tính tỉ số truyền của bộ truyền động.
3.3. Yêu cầu kĩ thuật
- Tháo lắp bộ truyền và biến đổi chuyển động đúng cấu trúc.
- Mô hình chuyển động nhẹ, êm sau khi lắp.
- Tính được tỉ số truyền của bộ truyền động.
3.4. Tiến trình thực hiện
Quy trình tháo lắp và tính tỉ số truyền của bộ truyền động giống như ví dụ ở Bảng 6.1.

>>> Bài tiếp theo: Lý thuyết Công nghệ 8 Chân trời sáng tạo bài 7
Trên đây là toàn bộ nội dung bài Lý thuyết Công nghệ lớp 8 bài 6: Truyền và biến đổi chuyển động sách Chân trời sáng tạo. Các em học sinh tham khảo thêm Công nghệ lớp 8 Kết nối tri thức và Công nghệ lớp 8 Cánh Diều. VnDoc liên tục cập nhật lời giải cũng như đáp án sách mới của SGK cũng như SBT các môn cho các bạn cùng tham khảo.