Lý thuyết Khoa học tự nhiên 6 Cánh diều bài 4
VnDoc xin giới thiệu bài Lý thuyết Khoa học tự nhiên lớp 6 bài 4: Đo nhiệt độ được chúng tôi sưu tầm và tổng hợp các câu hỏi lí thuyết và trắc nghiệm có đáp án đi kèm nằm trong chương trình giảng dạy môn Khoa học tự nhiên lớp 6 sách CD.
Bài: Đo nhiệt độ
A. Lý thuyết KHTN 6 bài 4
1. Nhiệt độ và độ nóng lạnh
- Nhiệt độ là số đo độ “nóng”, “lạnh” của vật. Vật nóng có nhiệt độ cao hơn vật lạnh.
- Người ta dùng nhiệt kế để đo nhiệt độ.

Nhiệt kế điện tử

Nhiệt kế y tế
2. Thang nhiệt độ xen – xi - ớt
- Nhiệt độ nước đá đang tan là 0oC và nhiệt độ của hơi nước đang sôi là 100oC.
- Những nhiệt độ thấp hơn 0oC được gọi là nhiệt độ âm.
3. Nhiệt kế

- Cấu tạo của nhiệt kế dùng chất lỏng:
+ Ở thân nhiệt độ có vạch chia độ
+ Ống nhiệt kế được kết nối với bầu đựng chất lỏng, thường là thủy ngân hoặc rượu. Độ dài của phần chất lỏng trong ống nhiệt kế phụ thuộc vào độ nóng hay lạnh của vật mà bầu nhiệt kế tiếp xúc.
- Nhiệt kế (thường dùng) hoạt động dựa trên sự nở vì nhiệt của chất lỏng.
4. Đo nhiệt độ cơ thể
- Cách đo nhiệt độ cơ thể bằng nhiệt kế y tế:
+ Bước 1: Vẩy mạnh nhiệt kế để thủy ngân tụt xuống dưới vạch thấp nhất (vạch 35).
+ Bước 2: Dùng bông và cồn y tế làm sạch nhiệt kế.
+ Bước 3: Đặt nhiệt kế vào nách, kẹp cánh tay lại để giữ nhiệt kế.
+ Bước 4: Sau 3 phút, lấy nhiệt kế ra. Đọc theo phần chất lỏng nhiệt kế tương ứng với vạch chia gần nhất trên thang nhiệt độ, đặt mắt nhìn vuông góc với mặt số.

Nhiệt độ cơ thể em là 37oC
B. Trắc nghiệm KHTN 6 bài 4
Câu 1: Nhiệt kế y tế thủy ngân hoạt động dựa trên hiện tượng nào?
A. Sự dãn nở vì nhiệt của chất rắn
B. Sự dãn nở vì nhiệt của chất khí
C. Sự dãn nở vì nhiệt của chất lỏng
D. A hoặc B
Lời giải
Nhiệt kế y tế thủy ngân hoạt động dựa trên hiện tượng sự dãn nở vì nhiệt của chất lỏng.
Chọn đáp án C
Câu 2: Trong thang nhiệt độ Fa – ren – hai nhiệt độ sôi của nước là bao nhiêu?
A. 100oC
B. 273K
C. 212oF
D. 32oF
Lời giải
Trong thang nhiệt độ Fa – ren – hai nhiệt độ sôi của nước là 212oF
A – Nhiệt độ sôi của nước ở thang nhiệt độ Xen – xi - ớt.
B – Nhiệt độ nước đá đang tan ở thang nhiệt độ Ken – vin.
D – Nhiệt độ nước đá đang tan ở thang nhiệt độ Fa – ren – hai.
Chọn đáp án C
Câu 3: Trong thang nhiệt độ Ken – vin nhiệt độ của nước đá đang tan là bao nhiêu?
A. 0K
B. 273K
C. 0oC
D. 32oF
Lời giải
Trong thang nhiệt độ Ken – vin nhiệt độ của nước đá đang tan là 273K.
Chọn đáp án B
Câu 4: Phát biểu nào sau đây là phát biểu đúng?
A. Khoảng 100oC tương ứng với khoảng 180oF.
B. 1oC tương ứng với 33,8oF
C. Nhiệt độ của hơi nước đang sôi là 373K
D. Cả 3 phương án trên
Lời giải
A – Đúng
B – Đúng
C - Đúng
Chọn đáp án D
Câu 5: Phát biểu nào sau đây là phát biểu sai?
A. Nhiệt kế hoạt động dựa trên sự dãn nở của các chất.
B. Để đo nhiệt độ của cơ thể bằng nhiệt kế y tế thủy ngân cần đặt nhiệt kế vào nách.
C. Trong thang nhiệt độ Fa – ren – hai, nhiệt độ của nước đá đang tan là 0oC.
D. Mỗi một khoảng chia trong thang nhiệt độ Ken – vin bằng một khoảng chia trong thang nhiệt độ Xen – xi - ớt.
Lời giải
A – Đúng
B – Đúng
C – Sai, Trong thang nhiệt độ Fa – ren – hai, nhiệt độ của nước đá đang tan là 32oF.
D - Đúng
Chọn đáp án C
Câu 6: Đơn vị nào sau đây là đơn vị đo nhiệt độ?
A. oC
B. oF
C. K
D. Cả 3 phương án trên
Lời giải
A – Đơn vị của thang nhiệt độ Xen – xi - ớt
B – Đơn vị của thang nhiệt độ Fa – ren – hai
C – Đơn vị của thang nhiệt độ Ken - vin
Chọn đáp án D
Câu 7: Dụng cụ nào sau đây là dụng cụ đo nhiệt độ?
A. Nhiệt kế
B. Tốc kế
C. Cân
D. Cốc đong
Lời giải
A - Dụng cụ đo nhiệt độ
B - Dụng cụ đo vận tốc
C - Dụng cụ đo khối lượng
D - Dụng cụ đo thể tích
Chọn đáp án A
Câu 8: Dụng cụ nào sau đây được dùng để đo nhiệt độ sôi của nước?
A. Nhiệt kế rượu
B. Nhiệt kế y tế
C. Nhiệt kế thủy ngân
D. Nhiệt kế đổi màu
Lời giải
Nhiệt độ sôi của nước là 100oC.
A – Nhiệt kế rượu đo được nhiệt độ từ - 20oC đến 50oC thường dùng để đo nhiệt độ khí quyển.

B – Nhiệt kế y tế đo được nhiệt độ từ 35oC đến 42oC dùng để đo nhiệt độ cơ thể người.

C – Nhiệt kế thủy ngân đo được nhiệt độ từ 0oC đến 200oC thường dùng để đo nhiệt độ trong phòng thí nghiệm.

D – Nhiệt kế đổi màu thường được dùng trong y tế thay cho nhiệt kế y tế. Chỉ cần dán một băng giấy nhỏ có phủ một lớp chất đổi màu theo nhiệt độ lên trán người bệnh là có thể biết được nhiệt độ cơ thể.

Chọn đáp án C
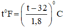
Câu 9: Công thức nào sau đây là công thức chuyển đổi đúng đơn vị nhiệt độ từ thang Xen – xi - ớt sang thang Fa – ren – hai?
A. toC = (t + 273) 0K
B. toF = (t(oC) x 1,8) + 32
C. T(K) = (T - 273)oC
D. 
Lời giải
Cách đổi nhiệt độ từ nhiệt giai Xen – xi – ớt sang nhiệt giai Fahrenheit là:
t0F = (t(oC) x 1,8) + 32
Chọn đáp án B
Câu 10: Công thức nào sau đây là công thức chuyển đổi đúng đơn vị nhiệt độ từ thang Xen – xi - ớt sang thang Ken - vin?
A. T(K) = t(oC) + 273
B. toC = (t - 273)0K
C. toC = (t + 32)0K
D. toC = (t.1,8)oF + 32oF
Lời giải
Cách đổi nhiệt độ từ nhiệt giai Xen – xi – ớt sang nhiệt giai Ken – vin là
T(K) = t(oC) + 273
Chọn đáp án A
>>>>> Bài tiếp theo: Lý thuyết Khoa học tự nhiên 6 Cánh diều bài 5
Như vậy VnDoc đã giới thiệu các bạn tài liệu Lý thuyết KHTN lớp 6 bài 4: Đo nhiệt độ sách Cánh diều. Mời các bạn tham khảo thêm tài liệu: KHTN 6 Chân trời sáng tạo, KHTN 6 Kết nối tri thức, Tài liệu học tập lớp 6.