Lý thuyết Vật lý 12 bài 25: Giao thoa ánh sáng
VnDoc xin gửi tới bạn đọc bài viết Lý thuyết Vật lý 12 bài 25: Giao thoa ánh sáng. Mời các bạn cùng theo dõi chi tiết bài viết dưới đây nhé
Giao thoa ánh sáng
1. Hiện tượng nhiễu xạ ánh sáng
+ Thí nghiệm: dùng một nguồn sáng S đặt trước một lỗ tròn nhỏ O, khoét trên một hộp kín. Quan sát vùng sáng ở thành đối diện.
+ Kết quả thí nghiệm: Nếu ánh sáng truyền thẳng thì trên thành sẽ có một vệt sáng tròn đường kính là D. Nhưng thực tế ta lại thấy một vệt sáng tròn có đường kính D’ > D. Lỗ O càng nhỏ D’ càng lớn hơn nhiều so với D.

+ Hiện tượng nhiễu xạ là: hiện tượng ánh sáng truyền sai lệch so với sự truyền thẳng khi ánh sáng gặp vật cản.
+ Giải thích hiện tượng: để giải thích hiện tượng này ta thừa nhận: mỗi chùm sáng đơn sắc được coi là một sóng có bước sóng xác định.
2. Hiện tượng giao thoa ánh sáng
a. Thí nghiệm
Cho ánh sáng chiếu từ nguồn sáng Đ, qua kính lọc sắc F và khe hẹp S chiếu vào hai khe hẹp S1, S2 cách nhau một khoảng a. Quan sát hình ảnh hứng được trên màn E cách hai khe S1, S2 một khoảng D, ta thấy các vân sáng và vân tối xen kẽ nhau. Đó là hiện tượng giao thoa ánh sáng.
Điều kiện về nguồn kết hợp: Hai sóng từ hai nguồn phải cùng tần số (cùng bước sóng) và có hiệu số pha hai nguồn không đổi theo thời gian.

- Kết quả thí nghiệm: trong vùng hai chùm sáng gặp nhau đúng ra đều phải sáng nhưng ta lại thấy có những vạch tối và vạch sáng xen kẽ nhau. Giống như hiện tượng giao thoa sóng cơ, buộc ta thừa nhận ánh sáng có tính chất sóng. Những vạch tối là chỗ hai sóng ánh sáng triệt tiêu lẫn nhau, những vạch sáng là chỗ hai sóng ánh sáng tăng cường lẫn nhau. Hệ vân sáng, tối xen kẽ nhau được gọi là hệ vân giao thoa của hai sóng ánh sáng.
b. Vị trí các vân sáng – vân tối

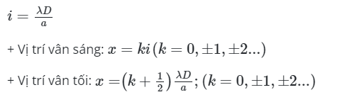
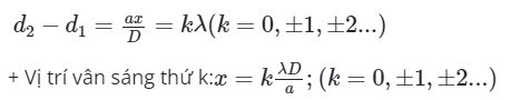
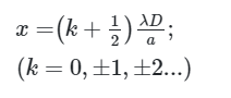
- Điều kiện có vân sáng:

Tại O (x = 0) ta có vân sáng ứng với k = 0, gọi là vân sáng trung tâm (còn gọi là vân sáng chính giữa hay vân bậc 0). Ở hai bên vân sáng trung tâm là các vân sáng bậc 1 ứng với, vân sáng bậc 2 ứng với ...
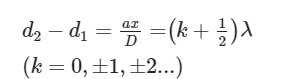
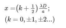
- Điều kiện có vân tối:

+ Vị trí vân tối:
..
Ở hai bên vân sáng trung tâm, vân tối thứ 1 ứng với k = 0 và k = -1;
vân tối thứ 2 ứng với k = 1 và k = -2; …..
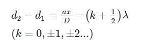
- Khoảng vân: Khoảng cách giữa 2 vân sáng hoặc 2 vân tối liên tiếp trên màn:

c. Ứng dụng:
- Đo bước sóng của ánh sáng.
- Đo các đại lượng D, a, i khi có bước sóng: λ=ai/D
d. Mối liên hệ giữa bước sóng của ánh sáng và màu sắc.
Các kết quả thực nghiệm cho thấy:
- Mỗi ánh sáng đơn sắc có một bước sóng hoặc tần số trong chân không hoàn toàn xác định. Khi truyền trong các môi trường trong suốt thì tốc độ của ánh sáng giảm đi, nhưng chu kì hay tần số của sóng ánh sáng vẫn không đổi nên bước sóng sẽ giảm.
- Ánh sáng khả kiến (ánh sáng nhìn thấy) có bước sóng trong khoảng: 380÷760 nm.
|
Màu |
λnm |
|
Đỏ |
640÷760 |
|
Da cam |
590÷650 |
|
Vàng |
570÷600 |
|
Lục |
500÷575 |
|
Lam |
450÷510 |
|
Chàm |
430÷460 |
|
Tím |
380÷440 |
-----------------------------
Trên đây VnDoc vừa gửi tới bạn đọc bài viết Lý thuyết Vật lý 12 bài 25: Giao thoa ánh sáng. Hi vọng qua bài viết này bạn đọc có thêm tài liệu để học tập tốt hơn môn Vật lý lớp 12 nhé. Mời các bạn cùng tham khảo thêm Lý thuyết Vật lý 12, Toán 12...