Một số kỹ năng sử dụng lượng liên hợp để giải phương trình - bất phương trình vô tỷ
Một số kỹ năng sử dụng lượng liên hợp để giải phương trình - bất phương trình vô tỷ
Một số kỹ năng sử dụng lượng liên hợp để giải phương trình - bất phương trình vô tỷ của thầy giáo Nguyễn Văn Cường, giáo viên trường THPT Mỹ Đức A, Hà Nội sẽ giúp học sinh có kĩ năng giải các phương trình thường gặp trong các kì thi Đại học, giúp các bạn luyện thi THPT Quốc gia môn Toán hiệu quả.
Phương pháp dùng lượng liên hợp giải phương trình vô tỷ
260 bài toán phương trình và hệ phương trình trong ôn thi đại học
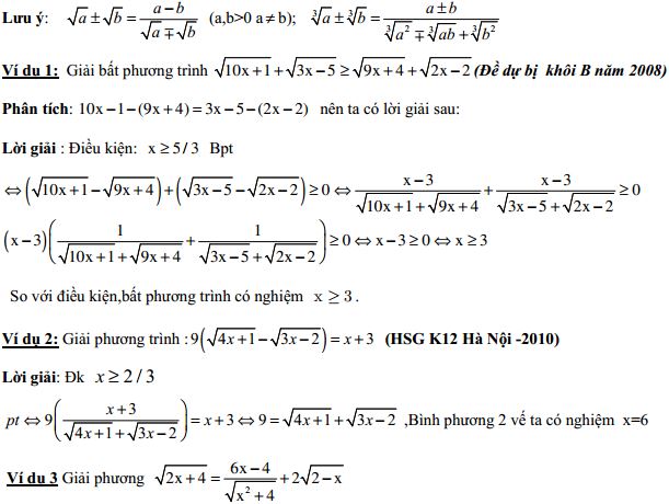
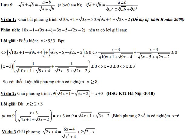
Khi giải các bài toán về phương trình,bất phương trình vô tỷ trong các kỳ thi đại học hay học sinh giỏi các tỉnh, thành phố, một trong các phương pháp hay được sử dụng là đưa phương trình về phương trình, bất phương trình tích. Để giúp học sinh vận dụng tốt phương pháp này, tôi xin giới thiệu một số kỹ năng thường dùng khi vận dụng lượng liên hợp vào giải phương trình, bất phương trình vô tỷ.
Dạng 1: Biểu thức liên hợp xuất hịên ngay trong phương trình, bất phương trình.

Phân tích: Quan sát phương trình ta thấy 2x + 4 – 4(2 - x) = 6x - 4. Đây là cơ sở tốt để ta nhóm.

Mời các bạn tải file đầy đủ về tham khảo!