Giao diện mới của VnDoc Pro: Dễ sử dụng hơn - chỉ tập trung vào lớp bạn quan tâm. Vui lòng chọn lớp mà bạn quan tâm: Lưu và trải nghiệm
Đóng
Điểm danh hàng ngày
  • Hôm nay +3
  • Ngày 2 +3
  • Ngày 3 +3
  • Ngày 4 +3
  • Ngày 5 +3
  • Ngày 6 +3
  • Ngày 7 +5
Bạn đã điểm danh Hôm nay và nhận 3 điểm!
Nhắn tin Zalo VNDOC để nhận tư vấn mua gói Thành viên hoặc tải tài liệu Hotline hỗ trợ: 0936 120 169

Đề thi học kì 2 môn Vật lý lớp 12 trường THPT Trần Hưng Đạo, TP Hồ Chí Minh năm học 2015 - 2016 - Đề 1

Đóng
Bạn đã dùng hết 1 lần làm bài Trắc nghiệm miễn phí. Mời bạn mua tài khoản VnDoc PRO để tiếp tục! Tìm hiểu thêm
Mô tả thêm:

Đề thi giữa học kì 2 môn Vật lý lớp 12

Đề thi học kì 2 môn Vật lý lớp 12 trường THPT Trần Hưng Đạo, TP Hồ Chí Minh năm học 2015 - 2016 - Đề 1 được VnDoc sưu tầm và giới thiệu tới các em học sinh tham khảo. Hi vọng rằng với tài liệu này sẽ giúp bạn có được kết quả cao trong kì thi học kì II sắp tới.

  • Số câu hỏi: 20 câu
  • Số điểm tối đa: 20 điểm
Bắt đầu làm bài
Bạn còn 1 lượt làm bài tập miễn phí. Hãy mua tài khoản VnDoc PRO để học không giới hạn nhé! Bạn đã HẾT lượt làm bài tập miễn phí! Hãy mua tài khoản VnDoc PRO để làm Trắc nghiệm không giới hạn và tải tài liệu nhanh nhé!
Mua ngay Đổi điểm
Trước khi làm bài bạn hãy
  • 1 Ôn tập kiến thức đã nêu trong phần Mô tả thêm
  • 2 Tìm không gian và thiết bị phù hợp để tập trung làm bài
  • 3 Chuẩn bị sẵn dụng cụ cần dùng khi làm bài như bút, nháp, máy tính
  • 4 Căn chỉnh thời gian làm từng câu một cách hợp lý
  • Câu 1: Nhận biết

    Câu 1:

    Trong thí nghiệm Iâng về giao thoa ánh sáng, khoảng cách giữa hai khe bằng 1,2mm và khoảng cách từ hai khe đến màn quan sát bằng 2m. Chiếu hai khe bằng ánh sáng đơn sắc. Biết khoảng vân quan sát được trên màn bằng 1mm. Bước sóng của ánh sáng chiếu tới bằng

  • Câu 2: Nhận biết

    Câu 2:

    Trong thí nghiệm Young về giao thoa ánh sáng, khoảng cách hai khe là 0,5mm, từ hai khe đến màn giao thoa là 2m. Bước sóng của ánh sáng trong thí nghiệm là λ = 0,45 μm. Xét điểm M và điểm N ở cùng bên vân sáng trung tâm cách vân trung tâm lân lượt là 5,2 mm và 9,4mm. Từ điểm M đến N có bao nhiêu vân sáng?

  • Câu 3: Nhận biết

    Câu 3:

    Thực hiện thí nghiệm giao thoa ánh sáng khe Young, a = 0,5mm. Khoảng cách từ mặt phẳng hai khe đến màn là D = 2m. Bước sóng ánh sáng là λ = 0,50 μm. Điểm M trên màn cách vân sáng trung tâm 4 mm là vị trí của

  • Câu 4: Nhận biết

    Câu 4:

    Quang phổ liên tục

  • Câu 5: Nhận biết

    Câu 5:

    Công thoát electron của một kim loại là A0, giới hạn quang điện là λ0. Khi chiếu vào bề mặt kim loại đó chùm bức xạ có bước sóng λ = λ0/3 thì động năng ban đầu cực đại của electron quang điện bằng:

  • Câu 6: Nhận biết

    Câu 6:

    Hiện tượng ánh sáng giải phóng các electron liên kết để chúng trở thành các electron dẫn đồng thời tạo ra các lỗ trống cùng tham gia vào quá trình dẫn điện gọi là

  • Câu 7: Nhận biết

    Câu 7:

    Theo mẫu nguyên tử Bo thì trong nguyên tử hyđrô, bán kính quỹ đạo dừng của electron trên các quỹ đạo là rn = n2.r0 (n là số nguyên dương), r0 là bán kính Bo. Gọi v là tốc độ của electron trên quỹ đạo N. Khi ở quỹ đạo L,electron có tốc độ là

  • Câu 8: Nhận biết

    Câu 8:

    Phát biểu nào sau đây là sai khi nói về bản chất ánh sáng:

  • Câu 9: Nhận biết

    Câu 9:

    Trong thí nghiệm Iâng về giao thoa ánh sáng, khoảng cách giữa hai khe là 1,2mm, khoảng cách từ hai khe đến màn là 2,0m. Người ta chiếu đồng thời hai bức xạ đơn sắc λ1 = 0,48 μm và λ2 = 0,60 μm vào hai khe. Khoảng cách ngắn nhất giữa các vị trí mà vân sáng hai bức xạ trùng nhau là

  • Câu 10: Nhận biết

    Câu 10:

    Phát biểu nào sau đây là đúng khi nói về hiện tượng quang điện.

  • Câu 11: Nhận biết

    Câu 11:

    Khi chiếu chùm tia tử ngoại vào một ống nghiệm đựng dung dịch fluorexêin thì thấy dung dịch này phát ra ánh sáng màu lục. Đó là hiện tượng

  • Câu 12: Nhận biết

    Câu 12:

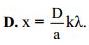
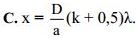
    Chọn công thức dùng để xác định vị trí vân sáng ở trên màn
  • Câu 13: Nhận biết

    Câu 13:

    Trong chân không, các bức xạ được sắp xếp theo thứ tự bước sóng giảm dần là

  • Câu 14: Nhận biết

    Câu 14:

    Theo quan điểm của thuyết lượng tử phát biểu nào sau đây là không đúng?

  • Câu 15: Nhận biết

    Câu 15:

    Chiếu một chùm sáng đơn sắc vào một tấm kẽm có giới hạn quang điện λ0 = 0,36 μm. Hiện tượng quang điện sẽ không xảy ra nếu ánh sáng có bước sóng

  • Câu 16: Nhận biết

    Câu 16:

    Tia laze không có đặc điểm nào dưới đây?

  • Câu 17: Nhận biết

    Câu 17:

    Nguyên tử hiđrô ở trạng thái dừng ứng với quỹ đạo M. Biết ro = 5,3.10-11 m. Bán kính nguyên tử ứng với trạng thái dừng đó là:

  • Câu 18: Nhận biết

    Câu 18:

    Trong chân không, ánh sáng tím có bước sóng 0,4 μm. Mỗi phôtôn của ánh sáng này mang năng lượng xấp xỉ bằng

  • Câu 19: Nhận biết

    Câu 19:

    Phát biểu nào sau đây là đúng?

  • Câu 20: Nhận biết

    Câu 20:

    Trong thí nghiệm Y-âng về giao thoa ánh sáng, người ta dùng ánh sáng đơn sắc có bước sóng 0,60μm, khoảng cách giữa hai khe là 1,5mm, khoảng cách từ mặt phẳng chứa hai khe đến màn quan sát là 3 m. Khoảng cách giữa 2 vân sáng cạnh nhau là.

Chúc mừng Bạn đã hoàn thành bài!

Đề thi học kì 2 môn Vật lý lớp 12 trường THPT Trần Hưng Đạo, TP Hồ Chí Minh năm học 2015 - 2016 - Đề 1 Kết quả
  • Thời gian làm bài: 00:00:00
  • Số câu đã làm: 0
  • Điểm tạm tính: 0
  • Điểm thưởng: 0

Đấu trường Đề thi học kì 2 môn Vật lý lớp 12 trường THPT Trần Hưng Đạo, TP Hồ Chí Minh năm học 2015 - 2016 - Đề 1

Đang tìm đối thủ...

Đang tải...

Xác thực tài khoản!

Theo Nghị định 147/2024/ND-CP, bạn cần xác thực tài khoản trước khi sử dụng tính năng này. Chúng tôi sẽ gửi mã xác thực qua SMS hoặc Zalo tới số điện thoại mà bạn nhập dưới đây:

Số điện thoại chưa đúng định dạng!
Số điện thoại này đã được xác thực!
Bạn có thể dùng Sđt này đăng nhập tại đây!
Lỗi gửi SMS, liên hệ Admin
Sắp xếp theo